当前位置:首页学历类研究生入学396经济学类联合->设f(x)是(-∞,+∞)上的连续函数,F(x)是f(x)的

设f(x)是(-∞,+∞)上的连续函数,F(x)是f(x)的一个原函数,则下列命题正确的是(  ).

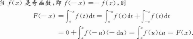
  • A.当f(x)是奇函数时,F(x)必是偶函数
  • B.当f(x)是偶函数时,F(x)必是奇函数
  • C.f(x)是有界函数时,F(x)必是有界增函数
  • D.当f(x)是周期函数时,F(x)必是周期函数
  • E.当f(x)是单调增函数时,F(x)必是单调增函数
答案: A
本题解析:

396经济学类联合,章节练习,经济学类联合

396经济学类联合,章节练习,经济学类联合

更新时间:2022-08-16 21:42
纠错

你可能感兴趣的试题

单选题

在社会规范学习与道德品质发展的研究中,班都拉(ABandura)等心理学家的研究重点是

  • A.道德认识
  • B.道德情感
  • C.道德意志
  • D.道德行为
查看答案
单选题

雅各宾派也被称为()

  • A.沼泽派
  • B.平等派
  • C.忿激派
  • D.山岳派
查看答案
问答题

数学二,章节练习,高等数学

查看答案
问答题

数学二,章节练习,高等数学

查看答案
问答题

数学二,章节练习,高等数学

查看答案
问答题

数学二,章节练习,高等数学

查看答案
问答题

数学二,章节练习,高等数学

查看答案
问答题

数学二,章节练习,高等数学

查看答案
问答题

数学二,章节练习,高等数学

查看答案
问答题

数学二,章节练习,高等数学

查看答案