当前位置:首页学历类研究生入学396经济学类联合->设随机变量X~U(0,2),其分布函数为F(x),则F(1)

设随机变量X~U(0,2),其分布函数为F(x),则F(1)=(  ).

  • A.0.5
  • B.0.25
  • C.0
  • D.0.1
  • E.1
答案: A
本题解析:

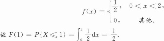
由题设X~U(0,2),则

396经济学类联合,章节练习,经济学类联合

更新时间:2022-08-31 00:54
纠错

你可能感兴趣的试题

单选题

在社会规范学习与道德品质发展的研究中,班都拉(ABandura)等心理学家的研究重点是

  • A.道德认识
  • B.道德情感
  • C.道德意志
  • D.道德行为
查看答案
单选题

雅各宾派也被称为()

  • A.沼泽派
  • B.平等派
  • C.忿激派
  • D.山岳派
查看答案
问答题

数学二,章节练习,高等数学

查看答案
问答题

数学二,章节练习,高等数学

查看答案
问答题

数学二,章节练习,高等数学

查看答案
问答题

数学二,章节练习,高等数学

查看答案
问答题

数学二,章节练习,高等数学

查看答案
问答题

数学二,章节练习,高等数学

查看答案
问答题

数学二,章节练习,高等数学

查看答案
问答题

数学二,章节练习,高等数学

查看答案