当前位置:首页学历类研究生入学396经济学类联合->设f'(lnx)=1+xlnx,则f(x)=().

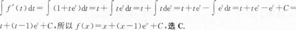
设f'(lnx)=1+xlnx,则f(x)=( ).

  • A.-x-(x+1)ex+C
  • B.x-(x+1)ex+
  • C.x+(x-1)ex+C
  • D.x-(x-1)ex+C
  • E.x+(x+1)ex+C
答案: C
本题解析:

396经济学类联合,章节练习,经济学类联合

396经济学类联合,章节练习,经济学类联合

更新时间:2022-09-05 01:51
纠错

你可能感兴趣的试题

单选题

在社会规范学习与道德品质发展的研究中,班都拉(ABandura)等心理学家的研究重点是

  • A.道德认识
  • B.道德情感
  • C.道德意志
  • D.道德行为
查看答案
单选题

雅各宾派也被称为()

  • A.沼泽派
  • B.平等派
  • C.忿激派
  • D.山岳派
查看答案
问答题

数学二,章节练习,高等数学

查看答案
问答题

数学二,章节练习,高等数学

查看答案
问答题

数学二,章节练习,高等数学

查看答案
问答题

数学二,章节练习,高等数学

查看答案
问答题

数学二,章节练习,高等数学

查看答案
问答题

数学二,章节练习,高等数学

查看答案
问答题

数学二,章节练习,高等数学

查看答案
问答题

数学二,章节练习,高等数学

查看答案