当前位置:首页学历类研究生入学396经济学类联合->关于函数x=x2yey的偏导数,下列叙述正确的为().

关于函数x=x2yey的偏导数,下列叙述正确的为( ).

396经济学类联合,章节练习,经济学类联合

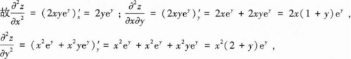
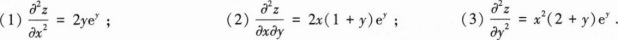
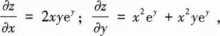
  • A.仅(1)
  • B.仅(2)
  • C.仅(1)(3)
  • D.仅(2)(3)
  • E.均正确
答案: E
本题解析:

396经济学类联合,章节练习,经济学类联合

396经济学类联合,章节练习,经济学类联合

更新时间:2022-08-24 05:12
纠错

你可能感兴趣的试题

单选题

在社会规范学习与道德品质发展的研究中,班都拉(ABandura)等心理学家的研究重点是

  • A.道德认识
  • B.道德情感
  • C.道德意志
  • D.道德行为
查看答案
单选题

雅各宾派也被称为()

  • A.沼泽派
  • B.平等派
  • C.忿激派
  • D.山岳派
查看答案
问答题

数学二,章节练习,高等数学

查看答案
问答题

数学二,章节练习,高等数学

查看答案
问答题

数学二,章节练习,高等数学

查看答案
问答题

数学二,章节练习,高等数学

查看答案
问答题

数学二,章节练习,高等数学

查看答案
问答题

数学二,章节练习,高等数学

查看答案
问答题

数学二,章节练习,高等数学

查看答案
问答题

数学二,章节练习,高等数学

查看答案