当前位置:首页学历类研究生入学396经济学类联合->设随机变量X的概率分布律为若E(X)=0,则D(X)=()

设随机变量X的概率分布律为

396经济学类联合,历年真题,2021年考研《396经济类联考综合》真题

若E(X)=0,则D(X)=()

  • A.2.6
  • B.1.8
  • C.2.4
  • D.1.4
  • E.3
答案: C
本题解析:

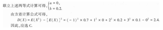
由离散型随机变量的分布律的性质可得,0.7+a+b+0.1=1.即9+b=0.2.

又由数学期望的计算公式可得,E(X)=-1×0.7+1×a+2×b+3×0.1=0,即a+2b=0.4.

396经济学类联合,历年真题,2021年考研《396经济类联考综合》真题

更新时间:2022-08-10 14:09
纠错

你可能感兴趣的试题

单选题

在社会规范学习与道德品质发展的研究中,班都拉(ABandura)等心理学家的研究重点是

  • A.道德认识
  • B.道德情感
  • C.道德意志
  • D.道德行为
查看答案
单选题

雅各宾派也被称为()

  • A.沼泽派
  • B.平等派
  • C.忿激派
  • D.山岳派
查看答案
问答题

数学二,章节练习,高等数学

查看答案
问答题

数学二,章节练习,高等数学

查看答案
问答题

数学二,章节练习,高等数学

查看答案
问答题

数学二,章节练习,高等数学

查看答案
问答题

数学二,章节练习,高等数学

查看答案
问答题

数学二,章节练习,高等数学

查看答案
问答题

数学二,章节练习,高等数学

查看答案
问答题

数学二,章节练习,高等数学

查看答案