当前位置:首页学历类研究生入学396经济学类联合->设随机变量X,Y服从正态分布,X~N(μ,4),Y~N(μ,

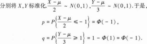
设随机变量X,Y服从正态分布,X~N(μ,4),Y~N(μ,9),记p=P{X≤μ-2},g=P{Y≥μ+3},则()

  • A.仅对某些实数μ,有p>q
  • B.对任意实数μ,均有p>q
  • C.对任意实数μ,均有p
  • D.对任意实数μ,均有p=q
  • E.仅对某些实数μ,有p
答案: D
本题解析:

396经济学类联合,历年真题,2021年考研《396经济类联考综合》真题

因此,对任意实数μ,都有p=q.应选D.

更新时间:2022-08-12 12:16
纠错

你可能感兴趣的试题

单选题

在社会规范学习与道德品质发展的研究中,班都拉(ABandura)等心理学家的研究重点是

  • A.道德认识
  • B.道德情感
  • C.道德意志
  • D.道德行为
查看答案
单选题

雅各宾派也被称为()

  • A.沼泽派
  • B.平等派
  • C.忿激派
  • D.山岳派
查看答案
问答题

数学二,章节练习,高等数学

查看答案
问答题

数学二,章节练习,高等数学

查看答案
问答题

数学二,章节练习,高等数学

查看答案
问答题

数学二,章节练习,高等数学

查看答案
问答题

数学二,章节练习,高等数学

查看答案
问答题

数学二,章节练习,高等数学

查看答案
问答题

数学二,章节练习,高等数学

查看答案
问答题

数学二,章节练习,高等数学

查看答案