当前位置:首页学历类研究生入学396经济学类联合->设函数f(x)满足f(x+△x)-f(x)=2x△x+o(△

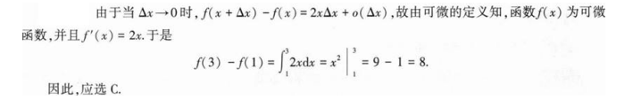
设函数f(x)满足f(x+△x)-f(x)=2x△x+o(△x)(△x→0),则f(3)-f(1)=()

  • A.9
  • B.6
  • C.8
  • D.4
  • E.12
答案: C
本题解析:

396经济学类联合,历年真题,2021年考研《396经济类联考综合》真题

更新时间:2022-08-16 14:06
纠错

你可能感兴趣的试题

单选题

在社会规范学习与道德品质发展的研究中,班都拉(ABandura)等心理学家的研究重点是

  • A.道德认识
  • B.道德情感
  • C.道德意志
  • D.道德行为
查看答案
单选题

雅各宾派也被称为()

  • A.沼泽派
  • B.平等派
  • C.忿激派
  • D.山岳派
查看答案
问答题

数学二,章节练习,高等数学

查看答案
问答题

数学二,章节练习,高等数学

查看答案
问答题

数学二,章节练习,高等数学

查看答案
问答题

数学二,章节练习,高等数学

查看答案
问答题

数学二,章节练习,高等数学

查看答案
问答题

数学二,章节练习,高等数学

查看答案
问答题

数学二,章节练习,高等数学

查看答案
问答题

数学二,章节练习,高等数学

查看答案