当前位置:首页学历类研究生入学396经济学类联合->设向量组α1,α2,α3线性无关,则以下向量组线性相关的是(

设向量组α1,α2,α3线性无关,则以下向量组线性相关的是()

  • A.α1-2α2,α2-2α3,α3-2α1
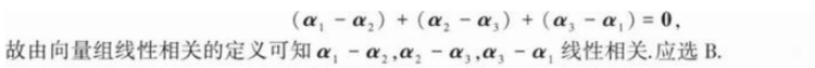
  • B.α1-α2,α2-α3,α3-α1
  • C.α1+2α2,α2+2α3,α3+2α1
  • D.α1+α2,α2+α3,α3+α1
  • E.2α1+α2,2α2+α3,2α3+α1
答案: B
本题解析:

396经济学类联合,历年真题,2021年考研《396经济类联考综合》真题

更新时间:2022-08-15 20:38
纠错

你可能感兴趣的试题

单选题

在社会规范学习与道德品质发展的研究中,班都拉(ABandura)等心理学家的研究重点是

  • A.道德认识
  • B.道德情感
  • C.道德意志
  • D.道德行为
查看答案
单选题

雅各宾派也被称为()

  • A.沼泽派
  • B.平等派
  • C.忿激派
  • D.山岳派
查看答案
问答题

数学二,章节练习,高等数学

查看答案
问答题

数学二,章节练习,高等数学

查看答案
问答题

数学二,章节练习,高等数学

查看答案
问答题

数学二,章节练习,高等数学

查看答案
问答题

数学二,章节练习,高等数学

查看答案
问答题

数学二,章节练习,高等数学

查看答案
问答题

数学二,章节练习,高等数学

查看答案
问答题

数学二,章节练习,高等数学

查看答案