当前位置:首页学历类研究生入学396经济学类联合->已知函数f(x,y)=x2+2xy+2y2-6y,则()

已知函数f(x,y)=x2+2xy+2y2-6y,则()

  • A.(-3,3)为f(x,y)的极小值点
  • B.(3,-3)为f(x,y)的极小值点
  • C.(-3,3)为f(x,y)的极大值点
  • D.(3,-3)为f(x,y)的极大值点
  • E.f(x,y)没有极值点
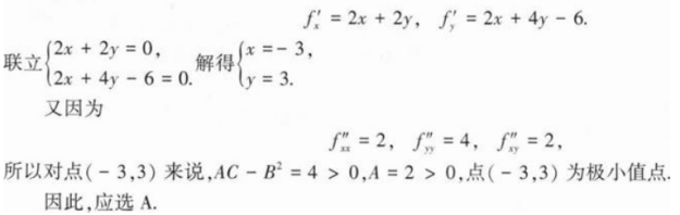
答案: A
本题解析:

396经济学类联合,历年真题,2021年考研《396经济类联考综合》真题

更新时间:2022-08-07 20:56
纠错

你可能感兴趣的试题

单选题

在社会规范学习与道德品质发展的研究中,班都拉(ABandura)等心理学家的研究重点是

  • A.道德认识
  • B.道德情感
  • C.道德意志
  • D.道德行为
查看答案
单选题

雅各宾派也被称为()

  • A.沼泽派
  • B.平等派
  • C.忿激派
  • D.山岳派
查看答案
问答题

数学二,章节练习,高等数学

查看答案
问答题

数学二,章节练习,高等数学

查看答案
问答题

数学二,章节练习,高等数学

查看答案
问答题

数学二,章节练习,高等数学

查看答案
问答题

数学二,章节练习,高等数学

查看答案
问答题

数学二,章节练习,高等数学

查看答案
问答题

数学二,章节练习,高等数学

查看答案
问答题

数学二,章节练习,高等数学

查看答案