2019年全国共发生地质灾害6181起,其中滑坡4220起、崩塌1238起、泥石流599起、地面塌陷121起、地裂缝1起和地面沉降2起,共造成211人死亡、13人失踪、75人受伤,直接经济损失27.7亿元。与2018年相比,地质灾害发生数量和直接经济损失分别增加108.4%和88.4%。全国6181起地质灾害中,自然因素引发的有5904起,占总数的95.5%;人为因素引发的有277起,占总数的4.5%。自然因素主要为降雨等;人为因素主要为采矿和切坡等。

2019年全国平均每起地质灾害造成的直接经济损失金额约比去年同期:
第一步,本题考查平均数增长率计算问题。
第二步,定位文字材料第一段“2019年全国共发生地质灾害6181起,直接经济损失27.7亿元。与2018年相比,地质灾害发生数量和直接经济损失分别增加108.4%和88.4%”。
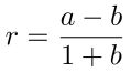
第三步,根据平均数增长率计算公式
,以及平均数=总数/总个数=后/前,代入数据可得
。
因此,选择B选项。
我国民法是调整( )的公民之间,法人之间以及公民和法人之间的财产关系和人身关系的法律规范的总称。
邓小平理论的精髓是( )。
《国家新型城镇化规划(2014-2020 年)》提出,到 2020 年人均城市建设用地严格控制在( )平方米以内。
动物园内海洋馆、热带馆、熊猫馆采取分时段展览形式,海洋馆每展览3天闭馆1天,热带馆每展览7天闭馆3天,熊猫馆每展览6天闭馆2天。若三个场馆同时从周一开始进行展览,则三个场馆第一次均闭馆是星期几?()
淄博设有的山东省区域性股权交易市场是( )。
将中国领土香港岛割让给英国的不平等条约是( )。
下列语句没有语病的一项是()。
“十四五”时期,坚持创新驱动发展,全面塑造发展新优势的措施包括()。
制造业发展规划与政策提出建设制造强国的基本原则有( )。
除藏书外,藏书楼的另一个重要功能,就是作为藏书家及文人学者校勘书籍、读书研究的主要场所,为了使藏书内容准确,没有舛误,他们将多种刊本进行比对,通过勘订,改正原书中的错处,以免________。
填入横线部分最恰当的一项是: