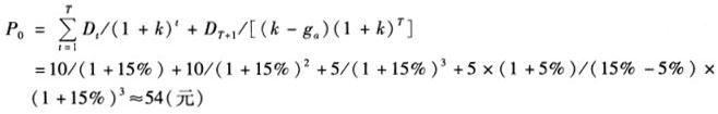
某股票前两年每股股利为10元。第3年每股股利为5元,此后股票保持5%的稳定增长,若投资者要求的回报率为15%,则该股票当前价格为()元。
根据多元增长模型可得该股票当前价格为:
不安抗辩权是双务合同中的()享有的法定权利。
百分比分析法是财务分析的基本方法之一,百分比分析法又分为结构百分比分析法和变动百分比分析法,其中结构百分比分析法主要包括( )。
共用题干
彭教授准备将自己多年来的学术成果交给一家出版社出版,预计稿酬所得为18000元。根据案例七回答22—26题。
共用题干
彭教授准备将自己多年来的学术成果交给一家出版社出版,预计稿酬所得为18000元。根据案例七回答22—26题。
人寿保险信托不具备的功能是()。
共用题干
李志和妻子胡丽2005年8月5号出行遭遇车祸,李志当场死亡,胡丽送往医院抢救无效后去世。夫妇俩生前居住的房子价值人民币50万元。李志遗有伤残补助金6万元。胡丽2002年以个人名义在单位集资人股获得收益4万元。李志夫妇有一个儿子李达,于2001年病故,李达和妻子马娜生育有一个儿子李飞,父亲去世后随母亲改嫁,李志夫妇年老体弱,一直有李志的表侄鲁明及改嫁儿媳马娜照顾。根据案例回答17~22题。
共用题干
叶天是某大学的退休老师,热心公益事业。叶天的父母、妻子早已亡故,有一个儿子叶强,已长大成人并结婚单过,对叶天捐助公益事业十分不满。2012年3月5日,叶天亲笔立下遗嘱,要将自己多年的积蓄50万捐献给某公益机构,自己居住的房子赠给学生胡志军。2012年6月10日,叶天突然精神失常,一直没有医治好。2013年7月,叶天去世。叶天惟一的弟弟叶明原是一家上市公司的会计师,2012年5月10日出车祸致残,生活不能自理,一直由某家护理机构照料,叶天负担所有的费用和开支。丧事料理完毕后,某公益机构和胡志军都要求按照遗嘱处分叶天的遗产,遭到叶强的拒绝。经查,叶天在2010年6月还给自己买了一份人寿保险,保额10万,但没有指定受益人。根据案例,回答5~12题。
共用题干
叶天是某大学的退休老师,热心公益事业。叶天的父母、妻子早已亡故,有一个儿子叶强,已长大成人并结婚单过,对叶天捐助公益事业十分不满。2012年3月5日,叶天亲笔立下遗嘱,要将自己多年的积蓄50万捐献给某公益机构,自己居住的房子赠给学生胡志军。2012年6月10日,叶天突然精神失常,一直没有医治好。2013年7月,叶天去世。叶天惟一的弟弟叶明原是一家上市公司的会计师,2012年5月10日出车祸致残,生活不能自理,一直由某家护理机构照料,叶天负担所有的费用和开支。丧事料理完毕后,某公益机构和胡志军都要求按照遗嘱处分叶天的遗产,遭到叶强的拒绝。经查,叶天在2010年6月还给自己买了一份人寿保险,保额10万,但没有指定受益人。根据案例,回答5~12题。
共用题干
叶天是某大学的退休老师,热心公益事业。叶天的父母、妻子早已亡故,有一个儿子叶强,已长大成人并结婚单过,对叶天捐助公益事业十分不满。2012年3月5日,叶天亲笔立下遗嘱,要将自己多年的积蓄50万捐献给某公益机构,自己居住的房子赠给学生胡志军。2012年6月10日,叶天突然精神失常,一直没有医治好。2013年7月,叶天去世。叶天惟一的弟弟叶明原是一家上市公司的会计师,2012年5月10日出车祸致残,生活不能自理,一直由某家护理机构照料,叶天负担所有的费用和开支。丧事料理完毕后,某公益机构和胡志军都要求按照遗嘱处分叶天的遗产,遭到叶强的拒绝。经查,叶天在2010年6月还给自己买了一份人寿保险,保额10万,但没有指定受益人。根据案例,回答5~12题。
共用题干
叶天是某大学的退休老师,热心公益事业。叶天的父母、妻子早已亡故,有一个儿子叶强,已长大成人并结婚单过,对叶天捐助公益事业十分不满。2012年3月5日,叶天亲笔立下遗嘱,要将自己多年的积蓄50万捐献给某公益机构,自己居住的房子赠给学生胡志军。2012年6月10日,叶天突然精神失常,一直没有医治好。2013年7月,叶天去世。叶天惟一的弟弟叶明原是一家上市公司的会计师,2012年5月10日出车祸致残,生活不能自理,一直由某家护理机构照料,叶天负担所有的费用和开支。丧事料理完毕后,某公益机构和胡志军都要求按照遗嘱处分叶天的遗产,遭到叶强的拒绝。经查,叶天在2010年6月还给自己买了一份人寿保险,保额10万,但没有指定受益人。根据案例,回答5~12题。