钢筋混凝土梁底有锚板和对称配置的直锚筋组成的受力预埋件,如题9图所示。构件安全等级均为二级,混凝土强度等级为C35,直锚筋为6
18(HRB400),已采取防止锚板弯曲变形的措施。锚板上焊接了一块连接板、连接板上需承受集中力F的作用,力的作用点和作用方向如题图所示。试问,当不考虑抗震时,该预埋件可以承受的最大集中力设计值Fmax(kN)与下列何项数值最为接近?( )

提示:①预埋件承载力由锚筋面积控制;②连接板的重量忽略不计。
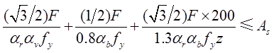
根据《混凝土结构设计规范》(GB 50010—2010)(2015年版)第9.7.2条第1项规定,当有剪力、法向拉力和弯矩共同作用时,应按式(9.7.2-1)、(9.7.2-2)两个公式计算,并取其中的较大值。
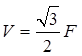
其中剪力设计值为:
,法向拉力设计值为:N=F/2,弯矩设计值为:
,锚筋层数的影响系数为:αr=0.9,锚板的弯曲变形折减系数为:αb=1,锚筋的抗拉强度设计值为:fy=300MPa,截面面积为:As=6×254=1524mm2,沿剪力作用方向最外层锚筋中心线之间的距离为:z=400mm,则锚筋的受剪承载力系数为:

根据式(9.7.2-1)有:

则0.00863F≤1524,F≤176.6×103N=176.6kN。
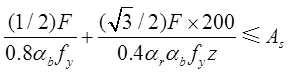
根据式(9.7.2-2)有:

则0.00609F≤1524,F≤250.2×103N=250.2kN。
综上,最大集中力设计值应取176.6kN和250.2kN中的较小值,即176.6kN,由此可知,B项最接近。










