某办公楼中的钢筋混凝土四跨连续梁,结构设计使用年限为50年,其计算简图和支座C处的配筋如题图所示。梁的混凝土强度等级为C35,纵筋采用HRB500钢筋,as=45mm,箍筋的保护层厚度为20mm。假定,作用在梁上的永久荷载标准值为qGk=28kN/m(包括自重),可变荷载标准值为qQk=8kN/m,可变荷载准永久值系数为0.4。试问,按《混凝土结构设计规范》(GB 50011—2010)(2015年版)计算的支座C梁顶面裂缝最大宽度wmax(mm)与下列何项数值最为接近?( )

提示:①裂缝宽度计算时不考虑支座宽度和受拉翼缘的影响;
②本题需要考虑可变荷载不利分布,等跨梁在不同荷载分布作用下,支座C的弯矩计算公式分别为:

荷载计算的分项系数为0.7,根据题目给出的弯矩公式计算得:
永久荷载产生的弯矩值为:MGk=0.071×28×8.5×8.5=143.63kN·m。
可变荷载产生的弯矩值为:MQk=0.107×8×8.5×8.5=61.85kN·m。
按荷载准永久组合计算的弯矩值为:Mq=143.63+0.4×61.85=168.37kN·m。
可知As=1231.5+490.9=1722.4mm2,保护层厚度为45mm,所以h0=500-45=455mm。
根据《混凝土结构设计规范》(GB 50010—2010)(2015年版)第7.1.4条公式(7.1.4-3)计算,受弯构件的受拉区纵向普通钢筋的应力为:σsq=Mq/(0.87h0As)=168.37×106/(0.87×455×1722.9)=246.87N/mm2。
所以相对粘结特性系数为:vi=1,钢筋的等效直径为:deq=(2×282+252)/(2×28+25)=27.07mm。
根据《混规》公式(7.1.2-4)计算,纵向受拉钢筋配筋率为:ρte=As/Ate;有效受拉混凝土截面面积为:Ate=0.5bh=0.5×250×500=62500mm2,ρte=As/Ate=1722.4/62500=0.02756>0.01。
根据《混规》第7.1.2条公式(7.1.2-2)得裂缝间纵向受拉钢筋应变不均匀系数为:
ψ=1.1-0.65×ftk/(ρteσs)=1.1-0.65×[2.2/(0.02757×246.87)]=0.890
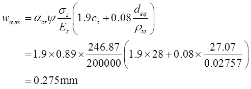
构件受力特征系数:αcr=1.9,钢筋的弹性模量为:Es=2×105N/mm2,最外层纵向受拉钢筋外边缘至受拉区底边的距离为:cs=28mm。根据公式(7.1.2-1)可得裂缝最大宽度为:











