当前位置:首页学历类研究生入学西医综合->CO2通过呼吸膜的速度比O2快的主要原因是(  )。

CO2通过呼吸膜的速度比O2快的主要原因是(  )。

  • A.原理为易化扩散
  • B.分压差比O2大
  • C.分子量比O2大
  • D.在血中溶解度比O2大
查看答案 纠错
答案: D
本题解析:

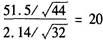
根据Fick弥散定律,气体通过薄层组织时,单位时间内气体扩散的容积与其扩散系数成正比。扩散系数=溶解度/西医综合,历年真题,2007年研究生《西医综合》真题扩散系数取决于气体分子本身的特性。因CO2和O2在血浆中的溶解度分别为51.5及2.14,故CO2的溶解度为O2的24倍;且CO2的分子量为44,O2的分子量为32,故CO2的扩散系数为O2的西医综合,历年真题,2007年研究生《西医综合》真题倍。

更新时间:2021-12-20 15:42

你可能感兴趣的试题

问答题

数学二,模拟考试,全国硕士研究生入学考试《数学2》模拟试卷7

查看答案
问答题

数学二,模拟考试,全国硕士研究生入学考试《数学2》模拟试卷7

查看答案
问答题

数学二,模拟考试,全国硕士研究生入学考试《数学2》模拟试卷7

查看答案
问答题

数学二,模拟考试,全国硕士研究生入学考试《数学2》模拟试卷7

查看答案
问答题

数学二,模拟考试,全国硕士研究生入学考试《数学2》模拟试卷7

查看答案
问答题

数学二,模拟考试,全国硕士研究生入学考试《数学2》模拟试卷7

查看答案
问答题

数学二,模拟考试,全国硕士研究生入学考试《数学2》模拟试卷7

查看答案
问答题

数学二,模拟考试,全国硕士研究生入学考试《数学2》模拟试卷7

查看答案
问答题

数学二,模拟考试,全国硕士研究生入学考试《数学2》模拟试卷7

查看答案
问答题

数学二,模拟考试,全国硕士研究生入学考试《数学2》模拟试卷7

查看答案