当前位置:首页学历类研究生入学数学三->已知AX=B有解(I)求常数a,b.(II)求X.

数学三,考前冲刺,全国硕士研究生入学考试《数学三》模拟试卷3已知AX=B有解

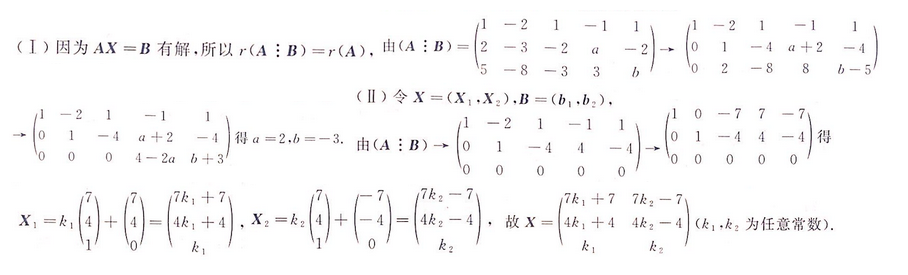
(I)求常数a,b. (II) 求X.

查看答案 纠错
答案:
本题解析:

数学一,考前冲刺,全国硕士研究生招生考试《数学1》考前冲刺3

更新时间:2021-12-21 17:58

你可能感兴趣的试题

问答题

数学二,模拟考试,全国硕士研究生入学考试《数学2》模拟试卷7

查看答案
问答题

数学二,模拟考试,全国硕士研究生入学考试《数学2》模拟试卷7

查看答案
问答题

数学二,模拟考试,全国硕士研究生入学考试《数学2》模拟试卷7

查看答案
问答题

数学二,模拟考试,全国硕士研究生入学考试《数学2》模拟试卷7

查看答案
问答题

数学二,模拟考试,全国硕士研究生入学考试《数学2》模拟试卷7

查看答案
问答题

数学二,模拟考试,全国硕士研究生入学考试《数学2》模拟试卷7

查看答案
问答题

数学二,模拟考试,全国硕士研究生入学考试《数学2》模拟试卷7

查看答案
问答题

数学二,模拟考试,全国硕士研究生入学考试《数学2》模拟试卷7

查看答案
问答题

数学二,模拟考试,全国硕士研究生入学考试《数学2》模拟试卷7

查看答案
问答题

数学二,模拟考试,全国硕士研究生入学考试《数学2》模拟试卷7

查看答案