当前位置:首页学历类研究生入学数学三->

数学三,章节练习,基础复习,高等数学2

查看答案 纠错
答案:
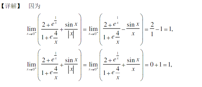
本题解析:

数学三,章节练习,基础复习,高等数学2

更新时间:2021-12-08 13:06

你可能感兴趣的试题

问答题

数学二,模拟考试,全国硕士研究生入学考试《数学2》模拟试卷7

查看答案
问答题

数学二,模拟考试,全国硕士研究生入学考试《数学2》模拟试卷7

查看答案
问答题

数学二,模拟考试,全国硕士研究生入学考试《数学2》模拟试卷7

查看答案
问答题

数学二,模拟考试,全国硕士研究生入学考试《数学2》模拟试卷7

查看答案
问答题

数学二,模拟考试,全国硕士研究生入学考试《数学2》模拟试卷7

查看答案
问答题

数学二,模拟考试,全国硕士研究生入学考试《数学2》模拟试卷7

查看答案
问答题

数学二,模拟考试,全国硕士研究生入学考试《数学2》模拟试卷7

查看答案
问答题

数学二,模拟考试,全国硕士研究生入学考试《数学2》模拟试卷7

查看答案
问答题

数学二,模拟考试,全国硕士研究生入学考试《数学2》模拟试卷7

查看答案
问答题

数学二,模拟考试,全国硕士研究生入学考试《数学2》模拟试卷7

查看答案