当前位置:首页学历类研究生入学经济学->在一个人(既是消费者又是生产者)的经济e={X,y,ω}中,

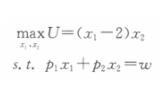
在一个人(既是消费者又是生产者)的经济e={X,y,ω}中,商品1和商品2在消费和生产中分别满足下面的条件:X一{z∈R2 ▏x1≥2,x2≥0}Y={y∈R2▏y2≤2(-y1)2,y1≤0)。效用函数为U(x1,x2)-(x1-2)x2,初始资源禀赋为ω=(4,0)。假设财富满足ω≥2P1,对于P=(p1,p2)∈R2++写出消费者问题并求解对x1和x2的需求量。

查看答案 纠错
答案:
本题解析:

消费者问题可表述为:

经济学,历年真题,北京大学国家发展研究院

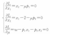
构造拉格朗日辅助函数:L=(X1-2)X2+μ(ω-p1x1-p2x2) 利润最大化的一阶条件为:

经济学,历年真题,北京大学国家发展研究院

解得:

经济学,历年真题,北京大学国家发展研究院

更新时间:2021-12-11 22:08

你可能感兴趣的试题

问答题

数学二,模拟考试,全国硕士研究生入学考试《数学2》模拟试卷7

查看答案
问答题

数学二,模拟考试,全国硕士研究生入学考试《数学2》模拟试卷7

查看答案
问答题

数学二,模拟考试,全国硕士研究生入学考试《数学2》模拟试卷7

查看答案
问答题

数学二,模拟考试,全国硕士研究生入学考试《数学2》模拟试卷7

查看答案
问答题

数学二,模拟考试,全国硕士研究生入学考试《数学2》模拟试卷7

查看答案
问答题

数学二,模拟考试,全国硕士研究生入学考试《数学2》模拟试卷7

查看答案
问答题

数学二,模拟考试,全国硕士研究生入学考试《数学2》模拟试卷7

查看答案
问答题

数学二,模拟考试,全国硕士研究生入学考试《数学2》模拟试卷7

查看答案
问答题

数学二,模拟考试,全国硕士研究生入学考试《数学2》模拟试卷7

查看答案
问答题

数学二,模拟考试,全国硕士研究生入学考试《数学2》模拟试卷7

查看答案