2014年11月21日,中央银行意外宣布降息,下调金融机构人民币贷款和存款的基准利率,一年期贷款基准利率下调0.4个百分点至5. 6%,一年期存款基准利率下调0.25个百分点至2. 75%,活动区间的上限由基准利率的1.1倍调整为1.2倍。 美国10年期国债收益率是2.3%,消费者物价环比上涨0.1%,若资金可在中美间自由流动,假设未来美元对人民币汇率保持不变,人民币资金回报率以一年期存款利率计算,请问资金如何流动?若资金实际上没有发生流动,意味着美元对人民币汇率将如何变化?
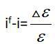
美国10年期国债实际收益率为2.3%-[(1+0.1%)10-1],根据泰勒公式计算得净收益率约 为2. 3%-(1+10×0.1%-1)=1.3%。 根据(3)中结果,人民币资金回报率实际收益率为r=1.15%,10年期实际收益率为(1+ 1·15%)10-1=1+10×1.15%+×(1.15%)2 -1=12. 1%。人民币资金回报率大于美元, 资金应该由美国流向中国。如果资金实际上没有发生流动,说明汇率发生了变化,使得两国利率相等。根据利率平价公式

美元与人民币的利率差要从负值变化到o,人民币对美元的汇率会以

的速度下降,直到if =i。在此期间,美元对人民币的汇率将上升。