当前位置:首页学历类研究生入学经济学->美国的波音公司与法国的空客公司都向世界出售民用客机。假设世界

美国的波音公司与法国的空客公司都向世界出售民用客机。假设世界对飞机的需求函数为p=20-q,两个公司的成本函数均为c(q)=8q。 假定两公司都生产,找出古诺/纳什均衡并求出均衡时的产量、价格与利润。

查看答案 纠错
答案:
本题解析:

在寡头市场上,生产的古诺均衡解是假定一方产量不变,另一方实现自身利润最大化的解,因此也是纳什均衡解。 波音公司的利润函数为:

经济学,历年真题,北京大学国家发展研究院

利润最大化的一阶条件为:

经济学,历年真题,北京大学国家发展研究院

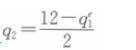
由此得波音公司的反应函数为

经济学,历年真题,北京大学国家发展研究院

同理可得,空客公司的反应函数为

经济学,历年真题,北京大学国家发展研究院

令q1 =qe1,q2=qe2,联立两个反应函数,得到古诺均衡解为

经济学,历年真题,北京大学国家发展研究院

更新时间:2021-12-22 10:26

你可能感兴趣的试题

问答题

数学二,章节练习,无穷级数

查看答案
问答题

数学二,章节练习,无穷级数

查看答案
问答题

数学二,章节练习,无穷级数

查看答案
问答题

数学二,章节练习,无穷级数

查看答案
问答题

数学二,章节练习,无穷级数

查看答案
问答题

数学二,章节练习,无穷级数

查看答案
问答题

数学二,章节练习,无穷级数

查看答案
问答题

数学二,章节练习,无穷级数

查看答案
问答题

数学二,章节练习,无穷级数

查看答案
问答题

数学二,章节练习,无穷级数

查看答案