一个城市的人口数量为N,其中60%的人口具有购房能力,且这部分人口的收入与偏好都一样。考虑两种产品模型:房子和其他商品。设y为消费者购买的房屋面积(平方米),p为房屋每平方米价格,z为其他消费。有能力购买者收人为m,效用函数为U(z,y)=X1-α。yα。 (1)写下有购房能力消费者的问题并求y的市场需求曲线。(2)设房地产市场有M家开发商且完全竞争。房子y的生产需要土地L和资本K两种要素,资本与土地单位价格为w1,w2。对土地进行开发建设需国土局分配的建设用地指标,而国土局分配该城市的房地产开发建设用地总量为L。假设城市政府将用地指标(免费)平均分配给M家开发商,房子生产函数为y= K0.5L0.5。求房地产市场的供给曲线。(3)根据(1)(2)的供给与需求曲线,求市场的均衡价格及产量。
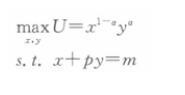
消费者问题可表述为:

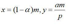
利用柯布一道格拉斯效用函数的性质,解得:

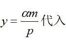
y的市场需求曲线为Q=0.6Ny,将


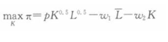
(2)生产函数的规模报酬不变,生产者问题可表述为:

利润最大化的一阶条件为:

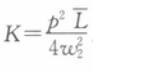
解得:


因此成本函数为

供给函数为p=

(3)联立需求线

和供给曲线,

得到均衡价格和产量分别为:
