纯交换的完全竞争市场上两个消费者A和B,两种商品X,Y,消费者A和B的效用函数分别为U(XA,YA)一XAYA和U(XB,YB)一In XB +αln YB。其中,(XA,YA)分别为消费者A在X,Y上的消费,(XB,YB)同理。A和B的初始禀赋分别为(eAX,eAY),(eBx,eBY)。经济体的初始总禀赋为(EX,EY)一{(eAX+eBx),(eAY+eBY)}。给定初始禀赋不变,试分别考虑在α=l,α≠1情况下,通过以下方法改变两个消费者的初始禀赋分配情况:把商品X或Y从A的初始禀赋挪到B的初始禀赋中,会对市场均衡价格有何影响?市场总需求跟初始的禀赋分配状况相关吗?为什么?
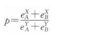
①a=1时,

不论把商品X或Y从A的初始禀赋挪到B的初始禀赋中,市场相对价 格均不会发生变化。 ②02a,(1+α) exA>2αexA,此时把商品X从A的初始禀赋挪到B的初始禀赋中, 分子变小,市场相对价格会降低;1+α<2,(l+α)eYA<2eYA,把商品Y从A的初始禀赋挪到B的初始禀赋中,分母变大,市场相对价格会降低。所以,不论把商品X或Y从A的初始禀赋挪到B的初始禀赋中,市场相对价格均下降。 ③同理,a>l时,不论把商品X或Y从A的初始禀赋挪到B的初始禀赋中,市场相对价格均 上升。