当前位置:首页学历类研究生入学经济学->竞争性市场上有N个厂商,他们具有相同的生产技术,生产相同的产

竞争性市场上有N个厂商,他们具有相同的生产技术,生产相同的产品,所需的投入为资本K和能源L。其中,资本的单位价格为R;由于能源受政府管制,单位价格为W不变。生产函数f(K,L) =AKαL1-α。若出现能源短缺,共有L可用于此行业投入,Li为第i个企业可买到的最多能源,求此时各企业的供给曲线和行业总供给曲线。

查看答案 纠错
答案:
本题解析:

出现能源短缺时,代表4性厂商的成本函数为

经济学,历年真题,北京大学国家发展研究院

成本函数与生产函数联立,得到条件要素需求函数为

经济学,历年真题,北京大学国家发展研究院

由此可得成本函数为

经济学,历年真题,北京大学国家发展研究院

所以,企业的供给曲线为

经济学,历年真题,北京大学国家发展研究院

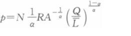
行业供给曲线为

经济学,历年真题,北京大学国家发展研究院

由于每个企业是同质的,如果每个企业平均分配能 源,则

经济学,历年真题,北京大学国家发展研究院

此时,行业供给曲线为

经济学,历年真题,北京大学国家发展研究院

更新时间:2021-12-05 18:45

你可能感兴趣的试题

问答题

数学二,模拟考试,全国硕士研究生入学考试《数学2》模拟试卷7

查看答案
问答题

数学二,模拟考试,全国硕士研究生入学考试《数学2》模拟试卷7

查看答案
问答题

数学二,模拟考试,全国硕士研究生入学考试《数学2》模拟试卷7

查看答案
问答题

数学二,模拟考试,全国硕士研究生入学考试《数学2》模拟试卷7

查看答案
问答题

数学二,模拟考试,全国硕士研究生入学考试《数学2》模拟试卷7

查看答案
问答题

数学二,模拟考试,全国硕士研究生入学考试《数学2》模拟试卷7

查看答案
问答题

数学二,模拟考试,全国硕士研究生入学考试《数学2》模拟试卷7

查看答案
问答题

数学二,模拟考试,全国硕士研究生入学考试《数学2》模拟试卷7

查看答案
问答题

数学二,模拟考试,全国硕士研究生入学考试《数学2》模拟试卷7

查看答案
问答题

数学二,模拟考试,全国硕士研究生入学考试《数学2》模拟试卷7

查看答案