竞争性市场上有N个厂商,他们具有相同的生产技术,生产相同的产品,所需的投入为资本K和能源L。其中,资本的单位价格为R;由于能源受政府管制,单位价格为W不变。生产函数f(K,L) =AKαL1-α。求各企业的供给曲线和行业总供给曲线。 求各企业的供给曲线和行业总供给曲线。
对于企业来说,既定产量的成本最小化问题为:

构造拉格朗日辅助函数S(K,L,λ)=RK+WL+λ(Q-AKαL1-α),一阶条件为:

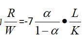
解得扩展线方程为

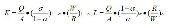
=-7,代人生产函数中,解得条件要素需求函数为:

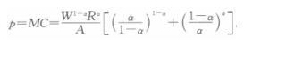
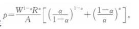
并可以得到成本函数为:

因此,各企业的供给曲线为:

因为生产函数的规模报酬不变,市场是充分竞争的,行业供给曲线为价格等于最小平均成本的一条水平直线,所以行业的供给曲线也是
