当前位置:首页学历类研究生入学经济学->竞争性市场下有3个完全相同的企业,生产相同产品。市场的反需求

竞争性市场下有3个完全相同的企业,生产相同产品。市场的反需求曲线为p(Q)-l-Q,Q=q1+q2+q3,每个企业成本为零。古诺模型下各企业的利润?

查看答案 纠错
答案:
本题解析:

厂商i的利润函数为

经济学,历年真题,北京大学国家发展研究院

利润最大化的一阶条件为:

经济学,历年真题,北京大学国家发展研究院

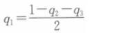
由此可得厂商1的反应函数为

经济学,历年真题,北京大学国家发展研究院

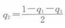
同理可得厂商2的反应函数为

经济学,历年真题,北京大学国家发展研究院

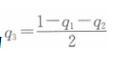
厂商3的反应函数为

经济学,历年真题,北京大学国家发展研究院

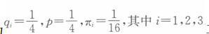
联立三个企业的反应函数,得古诺均衡解为

经济学,历年真题,北京大学国家发展研究院

其中i=1,2,3。

更新时间:2021-12-10 19:28

你可能感兴趣的试题

问答题

数学二,模拟考试,全国硕士研究生入学考试《数学2》模拟试卷7

查看答案
问答题

数学二,模拟考试,全国硕士研究生入学考试《数学2》模拟试卷7

查看答案
问答题

数学二,模拟考试,全国硕士研究生入学考试《数学2》模拟试卷7

查看答案
问答题

数学二,模拟考试,全国硕士研究生入学考试《数学2》模拟试卷7

查看答案
问答题

数学二,模拟考试,全国硕士研究生入学考试《数学2》模拟试卷7

查看答案
问答题

数学二,模拟考试,全国硕士研究生入学考试《数学2》模拟试卷7

查看答案
问答题

数学二,模拟考试,全国硕士研究生入学考试《数学2》模拟试卷7

查看答案
问答题

数学二,模拟考试,全国硕士研究生入学考试《数学2》模拟试卷7

查看答案
问答题

数学二,模拟考试,全国硕士研究生入学考试《数学2》模拟试卷7

查看答案
问答题

数学二,模拟考试,全国硕士研究生入学考试《数学2》模拟试卷7

查看答案