当前位置:首页学历类研究生入学经济学->竞争性市场下有3个完全相同的企业,生产相同产品。市场的反需求

竞争性市场下有3个完全相同的企业,生产相同产品。市场的反需求曲线为p(Q)-l-Q,Q=q1+q2+q3,每个企业成本为零。若其中两个公司合并,企业各自的利润分别是多少?

查看答案 纠错
答案:
本题解析:

不妨设企业1和2合并为企业4,那么企业4的利润函数为π4=p4q4=(1- q3 - q4)q4,利润最大化的一阶条件为:

经济学,历年真题,北京大学国家发展研究院

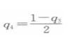
得厂商4的反应函数为

经济学,历年真题,北京大学国家发展研究院

同理可得厂商3的反应函数为

经济学,历年真题,北京大学国家发展研究院

联立两个反应函数,得到古诺均衡解为

经济学,历年真题,北京大学国家发展研究院

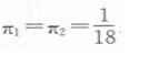
若企业1和2平分利润,则

经济学,历年真题,北京大学国家发展研究院

更新时间:2021-12-11 18:18

你可能感兴趣的试题

问答题

数学二,模拟考试,全国硕士研究生入学考试《数学2》模拟试卷7

查看答案
问答题

数学二,模拟考试,全国硕士研究生入学考试《数学2》模拟试卷7

查看答案
问答题

数学二,模拟考试,全国硕士研究生入学考试《数学2》模拟试卷7

查看答案
问答题

数学二,模拟考试,全国硕士研究生入学考试《数学2》模拟试卷7

查看答案
问答题

数学二,模拟考试,全国硕士研究生入学考试《数学2》模拟试卷7

查看答案
问答题

数学二,模拟考试,全国硕士研究生入学考试《数学2》模拟试卷7

查看答案
问答题

数学二,模拟考试,全国硕士研究生入学考试《数学2》模拟试卷7

查看答案
问答题

数学二,模拟考试,全国硕士研究生入学考试《数学2》模拟试卷7

查看答案
问答题

数学二,模拟考试,全国硕士研究生入学考试《数学2》模拟试卷7

查看答案
问答题

数学二,模拟考试,全国硕士研究生入学考试《数学2》模拟试卷7

查看答案