“震撼”“沉睡三千年,一醒惊天下”“精美绝伦的文物,无一不让人________”……日前,四川广汉三星堆遗址重要考古发现与研究成果,吸引了无数人的目光。华丽的金面具、精美的牙雕、双手合拢的顶尊铜人像,人们在一张张文物图片、一段段发掘视频中,________考古工作的独特魅力,感受中华文明的灿烂辉煌。
填入横线部分最恰当的一项是:
“大数据杀熟”,概指互联网平台滥用市场支配地位,通过大数据和算法对用户进行画像分析、进而实行差异化定价的行为。在传统商业交易中,通俗意义上说的“看人报价”,往往很难实现。但在互联网时代,大数据分析可以使之成为现实。通过对历史数据的共在生产,大数据能够预测个体未来的可能行为,通过界面设计强化诱导当下行为发生,随着用户使用频率的提高,画像数据不断积累,预测分析会更加精准,最终报价也可以趋近消费者可以接受的极限,从而完成一个闭环的“陷阱”。目前对于大数据杀熟,主流的治理方式是加强政府监管,鼓励企业纠偏和自律,那么作为直接使用者和切身体验者,用户们应该怎么办?破解大数据杀熟有没有第三条道路?
这段文字接下来最可能论述的是:
1.近日,中央广播电视总台的喜剧类电视节目《金牌喜剧班》热播,引起广泛讨论。节目中,喜剧演员陈佩斯提出的“创造笑声是创作的出发点,而非创作手段”,令人深思。
2.喜剧观赏是轻松的,喜剧创作却是严肃、有艺术规律的。好笑,是检验喜剧质量的标准之一,但不应成为唯一标准。
3.“唯笑点论”是一种创作上的短视。盲目或一味追求好笑,消解的将是喜剧创作者对现实的敏锐程度、对复杂生活的认知能力,强化的是形式单调、内容空洞的“段子手”特质。
4.________________。观演间达成了某种“心照不宣”,观众才能会心一笑。这种理解的形成,需要戏剧情境和情节铺垫,靠的是演员与观众递进式的交流。当演员的戏剧动作在情理之中、意料之外时,笑,便产生了。
5.创造笑声变成一种创作手段,揭示出当下喜剧创作中的一些值得注意的倾向。比如,创作中过度追求密集的笑点,攒“段子”优先于写故事,喜剧作品成了单纯的包袱堆砌、才艺表演叠加、网络流行语拼接;一些创作者抱着急于求成的心态,在创作中追求处处立竿见影、句句直接使用、时时见到喜剧效果;急于追求观众的即时反馈,导致作品的人物塑造流于表面,故事缺乏逻辑,创作容易陷入套路化。
6.究其根本,是这些创作者没有从喜剧的本质、戏剧的本质出发进行创作,忽视了结构和叙事的重要性。以相声为例,讲究“三翻四抖”,层层铺垫后的突然转折,才有喜剧效果。每句话都带个包袱,如何产生反差?怎么形成节奏?如果一句看似好笑的台词不能推动喜剧作品内容的发展,那么它放在相声中,就是不成功的“外插花”包袱,观众当时也许会笑,但很快会遗忘,还会影响表演者后面的包袱设计。
7.喜剧创作者的首要任务,是讲好一个故事、架构好情节,而后在过程中自然地引人发笑,而不是为了逗观众笑,讲一个不合逻辑甚至脱离现实的故事。这是________。
8.很多人感叹经典喜剧作品的深远影响力。事实上,那些被我们真正记住的,被岁月留下的,是台词背后反映生活、观照现实的思辨力量。那些值得反复品味的喜剧精品,有格调、有智慧、有情怀。它们让我们相信,真正的笑是可以穿透岁月的回声。
9.越是写微小、局部,就越需要有在时代大背景上开疆拓土的视野和张力。喜剧创作不是从笑点到笑声,而是从生活到笑声。于精神世界有所拓展、于世道人心有所补益、于思想境界有所提升,才是喜剧创作的立身之本。保持创作的自觉与理性,才能回归真正的喜剧精神,赢得观众认可,经受住时间考验。10.如果将喜剧比作一道菜,笑点便是菜中的调味剂。倘若脱离了主食材,脱离了故事主体,一堆佐料堆砌而成的,依旧是佐料,成不了一盘菜。“味道”是足了,营养却没了。
填入横线处的句子最恰当的是:
单位组织拔河比赛,每支参赛队伍由3名男职工和3名女职工组成,假设比赛时要求3名女职工中只有2位相邻,且队长(男职工,且人选已确定无需再选)只能在首位或末尾,则每支队伍有( )种不同站位方式。
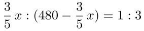
小王周末在家闲的无聊,将一袋黄豆粒随机分成甲乙丙三堆,将丙堆黄豆分给甲乙,使甲乙数量均增加一半;再将甲堆黄豆的一部分分给乙丙,使乙丙数量均又增加了一倍;然后将乙堆黄豆的一部分分给甲丙,使甲丙数量继续都增加了一半;最后将此时的丙堆黄豆平分成两部分,一部分装在碗里,准备当做今晚的食材使用。若碗里黄豆的数量是最终甲堆黄豆的5/13,且该袋黄豆共有294粒,那么最初丙堆黄豆可能有多少粒?
某学校的校园改造工程由甲乙两个工程队承包,若甲队单独施工需要30天完成,若乙队单独施工需要45天完成。若两队合作,工作效率会受到影响,若合作甲队每天只能完成原来工作量的
,乙队每天只能完成原工作量的
。校方要求在24天内完工,则两队至少合作( )天。
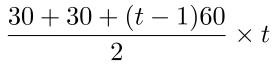
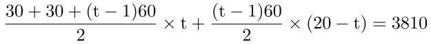
某种病毒感染对象主要是儿童,按照卫生委的测算,在6月2日某市统计感染儿童数为30人,以后每天新增感染人数都比前一天多60。该市在迅速采取公共卫生事件处理预案后,每天新增感染人数都比前一天少30,到6月21日新增感染人数为0为止,一共感染了3810名儿童。那么是从哪一天感染人数开始减少的?
睡眠成了很多人的烦心事并影响人的健康,青年人的睡眠成了很多专家担忧和研究的问题。很多青年人为了弥补白天无法支配自我时间的遗憾,到了夜晚,疯狂打游戏或刷剧,在熬夜中获得快感,这样的习惯,已成为很多青年人的生活常态。有专家就此指出,人们似乎从晚睡中得到了快乐,但这种快乐其实隐藏着某种烦恼。
以下哪项如果为真,最能支持上述专家的结论?
________________。一方面,文字储存的技术要求低,抄袭的门槛低,盗版市场规模远高于数字音乐和网络视频。甚至有一些专门的网站光明正大地进行盗版,毫无下限地窃取原创作者的成果,但维权非常费时费力。另一方面,随着网络文学蓬勃发展,盗版行为也“与时俱进”,给打击治理制造了新难点。比如,近些年越来越多的优秀作品走出国门,在这个过程中,很多境外文学翻译类网站未经许可擅自翻译作品,趁势收割网文出海红利。这类瞄准海外市场的盗版行为,由于服务器或运营人员位于境外,跨境执法的难度很大,打击起来相当困难。
填入划横线处最恰当的一项是:
英国科学家的一项新研究表明,宇宙中可能存在一种“巨大黑洞”,比位于星系中央的“超大质量黑洞”还要大。如能证实,将为研究人员提供一个强大的宇宙学研究工具,加深人们对暗物质以及早期宇宙的理解。现有观点普遍认为,超大质量黑洞在宿主星系内形成,通过吞食周围恒星和气体,或与其他黑洞合并而不断长大。它们的质量介于太阳质量的100万到100多亿倍之间。但在新研究中,“超大质量黑洞”可能存在另一种形成方式,使其能规避这一质量上限的限制。新研究认为这些“巨大黑洞”可能是“原初黑洞”,形成于宇宙早期,远早于星系形成之前。这种“原初黑洞”不是由坍缩的恒星形成,因此,它们的质量范围很广,可以非常小,也可以非常大。
下列说法符合文意的一项是:
政商关系“清而不亲”,从根子上说也是不担当、不作为。首先是个别领导干部价值观有偏差,有的领导干部是能力不足,碰上一些解决起来复杂棘手的企业难题没思路、没办法;有的是“爱惜羽毛”,怕跟企业家交往,给人不好的联想,干脆“多一事不如少一事”;还有的则是缺乏为企业服务的精神,作风庸懒散。只有“亲”“清”两相宜,政商关系健康发展才能有效推动经济社会发展。政、商之间的交往不可避免,一个地方的发展离不开企业,为企业主动优化服务、切实解决困难,本就是党和政府不容推卸的分内之事、应尽之责。同时,企业在商言商,更欢迎摒弃“潜规则”、没有“暗操作”的法治营商环境,更期待清清爽爽的政商关系。
这段文字主要说的是:
改革开放以来,大量优质资源要素不断从农村涌向城市,有力地推动了中国城镇化进程。但与此同时,不少地方乡村发展出现了“凋零”问题。进入新时代,乡村振兴战略作为较长时期“三农”问题的总抓手,提出“产业兴旺,生态宜居,乡风文明,治理有效,生活富裕”的总体要求。乡村振兴战略是涉及产业,人才,文化,生态,组织等方方面面的全面振兴,是中国现代化建设的制度性安排。因此,加快乡村振兴不仅需要自力更生,也需要引导优质的资源要素从城市向乡村流动。
这段文字的主旨是:
行为科学中有一个著名的“保龄球效应”:两名保龄球教练分别训练各自的队员。他们的队员都是一球打倒了7只瓶。教练甲对自己的队员说:“很好!打倒了7只。”他的队员听了教练的赞扬很受鼓舞,心里想,下次一定再加把劲,把剩下的3只也打倒。教练乙则对他的队员说:“怎么搞的!还有3只没打倒。”队员听了教练的指责,心里很不服气,暗想,你咋就看不见我已经打倒的那7只。结果,教练甲训练的队员成绩不断上升,教练乙训练的队员打得一次不如一次。
根据上述定义,下列体现保龄球效应的是:
大规模生产导致的经济效益简称规模经济(Economiesofscale),是指在一定的产量范围内,随着产量的增加,平均成本不断降低的事实。规模经济是由于一定的产量范围内,固定成本可以认为变化不大,那么新增的产品就可以分担更多的固定成本,从而使总成本下降。
下列选项未体现规模经济的是:
美国费尽心思安在中国头上的“强迫劳动”罪名,恰恰最适合自己。可叹的是,对自己劣迹斑斑的黑历史和________的窘况,美国政客、媒体不但“伤疤未好忘了疼”,而且________,一次又一次在人权问题上对中国妄加指责、横加干涉。真不知道美国哪来的底气和自信?说到这,忍不住想奉劝美国,有闲工夫编谎言、“扣帽子”,倒不如先照照镜子、好好反思,想想该怎么保障本国工人的合法权益、切实履行国际劳工公约。
填入横线部分最恰当的一项是:
地球这颗蓝色星球,依靠大量珍贵的液态水,孕育出蓬勃生命。但与地球相隔仅38万公里的月球,却一片荒芜,________。月球究竟有没有水?科学家从未停下探索的脚步。此前科学家________,月球背面常年阴暗的陨石坑里可能藏有冰。如今,两项最新研究证实,月球光照面也可能存在水。
填入横线处的词语最恰当的一项是:
说起“廊桥之乡”,人们多会想到浙江省的泰顺,福建省的寿宁、屏南。但很少有人知道,浙西南一隅的庆元,是中国廊桥数量最多,且拥有最古老木拱廊桥的县份:史料记载最早的木拱廊桥、现存寿命最长的木拱廊桥、单孔跨度最大的明代木拱廊桥、廊屋最长的单孔木拱桥、廊桥数量最多的村落都在庆元境内历经风侵雨蚀,境内尚有近百座各式廊桥。这个以南宋年号为名的古县,这个名副其实的“廊桥王国”,为何长期不为人所知?又是什么神奇力量,为庆元留下了这么多廊桥?
这段文字主要说明的是:
美国前国务理事指出:“除非美国想陷入孤立无援的境地,否则不能继续采取敌对中国的措施。只要美国不继续采取敌对中国的措施,美国目前所面临的经济困境会有所缓解。
由此可以推出:

若保持2020年全国集成电路进口数量的同比增速不变,那么,2021年全国集成电路进口数量将比2019年约多()亿个

能够从上述资料中推出的是:
2019年全国粮食种植面积11606万公顷,比上年减少97万公顷。其中,小麦种植面积2373万公顷,减少54万公顷;稻谷种植面积2969万公顷,减少50万公顷;玉米种植面积4128万公顷,减少85万公顷。
全年全国粮食产量66384万吨,比上年增加594万吨,增产0.9%。其中,夏粮产量14160万吨,增产2.0%;早稻产量2627万吨,减产8.1%;秋粮产量49597万吨,增产1.1%。全年谷物产量61368万吨,比上年增产0.6%。其中,稻谷产量20961万吨,减产1.2%;小麦产量13359万吨,增产1.6%;玉米产量26077万吨,增产1.4%。
全年全国猪牛羊禽肉产量7649万吨,比上年下降10.2%。其中,猪肉产量4255万吨,下降21.3%;牛肉产量667万吨,增长3.6%;羊肉产量488万吨,增长2.6%;禽肉产量2239万吨,增长12.3%。年末生猪存栏31041万头,下降27.5%;生猪出栏54419万头,下降21.6%。
2018年,全国稻谷产量约为多少万吨?
2019年全国粮食种植面积11606万公顷,比上年减少97万公顷。其中,小麦种植面积2373万公顷,减少54万公顷;稻谷种植面积2969万公顷,减少50万公顷;玉米种植面积4128万公顷,减少85万公顷。
全年全国粮食产量66384万吨,比上年增加594万吨,增产0.9%。其中,夏粮产量14160万吨,增产2.0%;早稻产量2627万吨,减产8.1%;秋粮产量49597万吨,增产1.1%。全年谷物产量61368万吨,比上年增产0.6%。其中,稻谷产量20961万吨,减产1.2%;小麦产量13359万吨,增产1.6%;玉米产量26077万吨,增产1.4%。
全年全国猪牛羊禽肉产量7649万吨,比上年下降10.2%。其中,猪肉产量4255万吨,下降21.3%;牛肉产量667万吨,增长3.6%;羊肉产量488万吨,增长2.6%;禽肉产量2239万吨,增长12.3%。年末生猪存栏31041万头,下降27.5%;生猪出栏54419万头,下降21.6%。
2018年全国小麦产量约是早稻产量的多少倍?
2019年全国粮食种植面积11606万公顷,比上年减少97万公顷。其中,小麦种植面积2373万公顷,减少54万公顷;稻谷种植面积2969万公顷,减少50万公顷;玉米种植面积4128万公顷,减少85万公顷。
全年全国粮食产量66384万吨,比上年增加594万吨,增产0.9%。其中,夏粮产量14160万吨,增产2.0%;早稻产量2627万吨,减产8.1%;秋粮产量49597万吨,增产1.1%。全年谷物产量61368万吨,比上年增产0.6%。其中,稻谷产量20961万吨,减产1.2%;小麦产量13359万吨,增产1.6%;玉米产量26077万吨,增产1.4%。
全年全国猪牛羊禽肉产量7649万吨,比上年下降10.2%。其中,猪肉产量4255万吨,下降21.3%;牛肉产量667万吨,增长3.6%;羊肉产量488万吨,增长2.6%;禽肉产量2239万吨,增长12.3%。年末生猪存栏31041万头,下降27.5%;生猪出栏54419万头,下降21.6%。
2019年全国粮食单位面积产量同比约增长:
2019年全国粮食种植面积11606万公顷,比上年减少97万公顷。其中,小麦种植面积2373万公顷,减少54万公顷;稻谷种植面积2969万公顷,减少50万公顷;玉米种植面积4128万公顷,减少85万公顷。
全年全国粮食产量66384万吨,比上年增加594万吨,增产0.9%。其中,夏粮产量14160万吨,增产2.0%;早稻产量2627万吨,减产8.1%;秋粮产量49597万吨,增产1.1%。全年谷物产量61368万吨,比上年增产0.6%。其中,稻谷产量20961万吨,减产1.2%;小麦产量13359万吨,增产1.6%;玉米产量26077万吨,增产1.4%。
全年全国猪牛羊禽肉产量7649万吨,比上年下降10.2%。其中,猪肉产量4255万吨,下降21.3%;牛肉产量667万吨,增长3.6%;羊肉产量488万吨,增长2.6%;禽肉产量2239万吨,增长12.3%。年末生猪存栏31041万头,下降27.5%;生猪出栏54419万头,下降21.6%。
能够从上述资料中推出的是:
2019年全国粮食种植面积11606万公顷,比上年减少97万公顷。其中,小麦种植面积2373万公顷,减少54万公顷;稻谷种植面积2969万公顷,减少50万公顷;玉米种植面积4128万公顷,减少85万公顷。
全年全国粮食产量66384万吨,比上年增加594万吨,增产0.9%。其中,夏粮产量14160万吨,增产2.0%;早稻产量2627万吨,减产8.1%;秋粮产量49597万吨,增产1.1%。全年谷物产量61368万吨,比上年增产0.6%。其中,稻谷产量20961万吨,减产1.2%;小麦产量13359万吨,增产1.6%;玉米产量26077万吨,增产1.4%。
全年全国猪牛羊禽肉产量7649万吨,比上年下降10.2%。其中,猪肉产量4255万吨,下降21.3%;牛肉产量667万吨,增长3.6%;羊肉产量488万吨,增长2.6%;禽肉产量2239万吨,增长12.3%。年末生猪存栏31041万头,下降27.5%;生猪出栏54419万头,下降21.6%。
下列作物,2019年产量变化量最小的是:
关于北斗卫星导航系统,下列说法正确的是:
《信息安全技术个人信息安全规范》进一步区分了一般个人信息和个人敏感信息。个人敏感信息指一旦泄露、非法提供或滥用可能危害人身和财产安全,极易导致个人名誉、身心健康受到损害或歧视性待遇等的个人信息,具体可包括身份证件号码、个人生物识别信息、银行账户、通信记录和内容、财产信息、征信信息、行踪轨迹、住宿信息、健康生理信息、交易信息、14岁以下(含)儿童的个人信息等。个人信息控制者通过个人信息或其他信息加工处理后形成的信息,如一旦泄露、非法提供或滥用可能危害人身和财产安全,极易导致个人名誉、身心健康受到损害或歧视性待遇等的,也属于个人敏感信息。因此,将“人脸”界定为个人敏感信息是合理的。
这段文字意在说明:
1.近日,中央广播电视总台的喜剧类电视节目《金牌喜剧班》热播,引起广泛讨论。节目中,喜剧演员陈佩斯提出的“创造笑声是创作的出发点,而非创作手段”,令人深思。
2.喜剧观赏是轻松的,喜剧创作却是严肃、有艺术规律的。好笑,是检验喜剧质量的标准之一,但不应成为唯一标准。
3.“唯笑点论”是一种创作上的短视。盲目或一味追求好笑,消解的将是喜剧创作者对现实的敏锐程度、对复杂生活的认知能力,强化的是形式单调、内容空洞的“段子手”特质。
4.________________。观演间达成了某种“心照不宣”,观众才能会心一笑。这种理解的形成,需要戏剧情境和情节铺垫,靠的是演员与观众递进式的交流。当演员的戏剧动作在情理之中、意料之外时,笑,便产生了。
5.创造笑声变成一种创作手段,揭示出当下喜剧创作中的一些值得注意的倾向。比如,创作中过度追求密集的笑点,攒“段子”优先于写故事,喜剧作品成了单纯的包袱堆砌、才艺表演叠加、网络流行语拼接;一些创作者抱着急于求成的心态,在创作中追求处处立竿见影、句句直接使用、时时见到喜剧效果;急于追求观众的即时反馈,导致作品的人物塑造流于表面,故事缺乏逻辑,创作容易陷入套路化。
6.究其根本,是这些创作者没有从喜剧的本质、戏剧的本质出发进行创作,忽视了结构和叙事的重要性。以相声为例,讲究“三翻四抖”,层层铺垫后的突然转折,才有喜剧效果。每句话都带个包袱,如何产生反差?怎么形成节奏?如果一句看似好笑的台词不能推动喜剧作品内容的发展,那么它放在相声中,就是不成功的“外插花”包袱,观众当时也许会笑,但很快会遗忘,还会影响表演者后面的包袱设计。
7.喜剧创作者的首要任务,是讲好一个故事、架构好情节,而后在过程中自然地引人发笑,而不是为了逗观众笑,讲一个不合逻辑甚至脱离现实的故事。这是________。
8.很多人感叹经典喜剧作品的深远影响力。事实上,那些被我们真正记住的,被岁月留下的,是台词背后反映生活、观照现实的思辨力量。那些值得反复品味的喜剧精品,有格调、有智慧、有情怀。它们让我们相信,真正的笑是可以穿透岁月的回声。
9.越是写微小、局部,就越需要有在时代大背景上开疆拓土的视野和张力。喜剧创作不是从笑点到笑声,而是从生活到笑声。于精神世界有所拓展、于世道人心有所补益、于思想境界有所提升,才是喜剧创作的立身之本。保持创作的自觉与理性,才能回归真正的喜剧精神,赢得观众认可,经受住时间考验。10.如果将喜剧比作一道菜,笑点便是菜中的调味剂。倘若脱离了主食材,脱离了故事主体,一堆佐料堆砌而成的,依旧是佐料,成不了一盘菜。“味道”是足了,营养却没了。
填入横线处的成语正确的是:
十八大以来,我们党明确提出了国家总体安全观,国家总体安全观的内涵包括:
①文化安全
②核安全
③农业安全
④经济安全
⑤生态安全
⑥政治安全
关于我国选举制度,下列说法不正确的是:
随着消费者需求日益多样化,消费心理也越发多元,一款产品要想打动消费者,获得消费者________,必须着力解决消费者亟待解决的问题。当下,爱美食、吃美食备受追捧。与此同时,健康的生活方式、严格的身材管理又成为美食路上的“________”。这就需要食品企业提供既好吃又健康的方案。差异化营销、打概念牌、塑造形象,元气森林以“0糖0脂0卡”为卖点,正好切中了消费者“好喝不长胖”的心理。
填入横线处的词语最恰当的一项是:
在长期历史发展进程中,中华民族经历了风风雨雨,特别是近代以后遭遇了无数艰难困苦,但我们都挺过来了,而且不断浴火重生。今天,我们正走在实现中华民族伟大复兴的康庄大道上。中华民族为何能生生不息、________?一个重要原因就是我们具有独具特色、博大精深、________的历史文化的有力支撑。
填入横线处的词语最恰当的一项是:
发展中国家,随着经济的不断增长,政府的干预、管制、税负、寻租和腐败等也在不断增加。可以将这种制度成本逐渐上升的现象称为“制度陷阱”,它会削弱人们从事生产性活动的意愿,窒息发展中国家的经济增长。人们通常所说的“中等收入陷阱”,更恰当的说法应是“制度陷阱”。与很多发展中国家和发达国家相似,中国在发展过程中同样伴随制度损耗。管制过密化、国进民退、政府税收膨胀、民营经济困顿、经济自由遭到削弱等,日益侵蚀着我国的竞争力和发展动能。
这段文字旨在说明:
博弈分为零和博弈和非零和博弈。零和博弈是指参与博弈的双方,在严格竞争下,一方的收益必然意味着另一方的损失,博弈各方的收益和损失相加的总和永远为“零”。零和博弈的结果是一方吃掉另一方,一方的所得正是另一方的所失,整个社会的利益并不会因此而增加一分。非零和博弈是一种合作下的博弈,博弈中各方的收益或损失的总和不是零值。
根据上述定义,下列哪个选项不属于零和博弈?
1.近日,中央广播电视总台的喜剧类电视节目《金牌喜剧班》热播,引起广泛讨论。节目中,喜剧演员陈佩斯提出的“创造笑声是创作的出发点,而非创作手段”,令人深思。
2.喜剧观赏是轻松的,喜剧创作却是严肃、有艺术规律的。好笑,是检验喜剧质量的标准之一,但不应成为唯一标准。
3.“唯笑点论”是一种创作上的短视。盲目或一味追求好笑,消解的将是喜剧创作者对现实的敏锐程度、对复杂生活的认知能力,强化的是形式单调、内容空洞的“段子手”特质。
4.________________。观演间达成了某种“心照不宣”,观众才能会心一笑。这种理解的形成,需要戏剧情境和情节铺垫,靠的是演员与观众递进式的交流。当演员的戏剧动作在情理之中、意料之外时,笑,便产生了。
5.创造笑声变成一种创作手段,揭示出当下喜剧创作中的一些值得注意的倾向。比如,创作中过度追求密集的笑点,攒“段子”优先于写故事,喜剧作品成了单纯的包袱堆砌、才艺表演叠加、网络流行语拼接;一些创作者抱着急于求成的心态,在创作中追求处处立竿见影、句句直接使用、时时见到喜剧效果;急于追求观众的即时反馈,导致作品的人物塑造流于表面,故事缺乏逻辑,创作容易陷入套路化。
6.究其根本,是这些创作者没有从喜剧的本质、戏剧的本质出发进行创作,忽视了结构和叙事的重要性。以相声为例,讲究“三翻四抖”,层层铺垫后的突然转折,才有喜剧效果。每句话都带个包袱,如何产生反差?怎么形成节奏?如果一句看似好笑的台词不能推动喜剧作品内容的发展,那么它放在相声中,就是不成功的“外插花”包袱,观众当时也许会笑,但很快会遗忘,还会影响表演者后面的包袱设计。
7.喜剧创作者的首要任务,是讲好一个故事、架构好情节,而后在过程中自然地引人发笑,而不是为了逗观众笑,讲一个不合逻辑甚至脱离现实的故事。这是________。
8.很多人感叹经典喜剧作品的深远影响力。事实上,那些被我们真正记住的,被岁月留下的,是台词背后反映生活、观照现实的思辨力量。那些值得反复品味的喜剧精品,有格调、有智慧、有情怀。它们让我们相信,真正的笑是可以穿透岁月的回声。
9.越是写微小、局部,就越需要有在时代大背景上开疆拓土的视野和张力。喜剧创作不是从笑点到笑声,而是从生活到笑声。于精神世界有所拓展、于世道人心有所补益、于思想境界有所提升,才是喜剧创作的立身之本。保持创作的自觉与理性,才能回归真正的喜剧精神,赢得观众认可,经受住时间考验。10.如果将喜剧比作一道菜,笑点便是菜中的调味剂。倘若脱离了主食材,脱离了故事主体,一堆佐料堆砌而成的,依旧是佐料,成不了一盘菜。“味道”是足了,营养却没了。
相声《宇宙牌香烟》中,马季说着“电报挂号,一推六二五;电话,不管三七二十一”,观众笑的是虚假广告夸大其词;小品《打工奇遇》里,赵丽蓉唱着“群英荟萃,萝卜开会”,观众笑的是用假冒伪劣欺骗顾客的不法商家;情景喜剧《我爱我家》以上世纪90年代一个北京六口之家和他们的亲朋好友为横断面,展开一幅多姿多彩的时代画卷……
这段话适合放在文中什么位置?
小明从甲地出发去往乙地,出发20分钟后,距离两地中点还有一半的距离。继续行走5公里后,小明超过两地中点的距离恰好与已走过的路程的比值为1:4。此后,小明速度提升
,则走完剩余路程需要多少分钟?
2021年4月,我国本外币贷款余额187.85万亿元,同比增长12%;人民币贷款余额181.88万亿元,环比减少2.4%,同比增长12.3%,增速分别比上月和上年同期低0.3个和0.8个百分点。外币贷款余额9232亿美元,同比增长10.8%。4月,本外币存款余额226.69万亿元,同比增长9.2%;人民币存款余额220.2万亿元,同比增长8.9%,增速比上月和上年同期均低1个百分点。外币存款余额1万亿美元,同比增长33.2%。

2021年2月,我国金融机构信贷收入境内存款中,下列选项中各类型存款环比增长率由小到大排序正确的是:
2021年4月,我国本外币贷款余额187.85万亿元,同比增长12%;人民币贷款余额181.88万亿元,环比减少2.4%,同比增长12.3%,增速分别比上月和上年同期低0.3个和0.8个百分点。外币贷款余额9232亿美元,同比增长10.8%。4月,本外币存款余额226.69万亿元,同比增长9.2%;人民币存款余额220.2万亿元,同比增长8.9%,增速比上月和上年同期均低1个百分点。外币存款余额1万亿美元,同比增长33.2%。

2021年3月,我国金融机构人民币信贷收入五大类中,环比增长最多的类别,其1月份的信贷收入约是增长最少的类别的多少倍?
2021年4月,我国本外币贷款余额187.85万亿元,同比增长12%;人民币贷款余额181.88万亿元,环比减少2.4%,同比增长12.3%,增速分别比上月和上年同期低0.3个和0.8个百分点。外币贷款余额9232亿美元,同比增长10.8%。4月,本外币存款余额226.69万亿元,同比增长9.2%;人民币存款余额220.2万亿元,同比增长8.9%,增速比上月和上年同期均低1个百分点。外币存款余额1万亿美元,同比增长33.2%。

2021年4月,我国人民币存款余额占本外币存款余额的比重比上年同期约:
2021年4月,我国本外币贷款余额187.85万亿元,同比增长12%;人民币贷款余额181.88万亿元,环比减少2.4%,同比增长12.3%,增速分别比上月和上年同期低0.3个和0.8个百分点。外币贷款余额9232亿美元,同比增长10.8%。4月,本外币存款余额226.69万亿元,同比增长9.2%;人民币存款余额220.2万亿元,同比增长8.9%,增速比上月和上年同期均低1个百分点。外币存款余额1万亿美元,同比增长33.2%。

2021年4月,我国人民币贷款余额比2020年3月约:
2021年4月,我国本外币贷款余额187.85万亿元,同比增长12%;人民币贷款余额181.88万亿元,环比减少2.4%,同比增长12.3%,增速分别比上月和上年同期低0.3个和0.8个百分点。外币贷款余额9232亿美元,同比增长10.8%。4月,本外币存款余额226.69万亿元,同比增长9.2%;人民币存款余额220.2万亿元,同比增长8.9%,增速比上月和上年同期均低1个百分点。外币存款余额1万亿美元,同比增长33.2%。

能够从上述资料中推出的是:
下列关于习近平总书记的用典对应哲学原理错误的是:
新时代的文学要解决新问题、满足新需求、创造新气象,需要立足当下,以当下为旨归,对传统做________,向前人要智慧。身为一个当代作家,________地要从现实生活和传统文脉中找到更新创造的可能,以更强大的主体来迎接当代书写的挑战。
填入横线处的词语最恰当的一项是:
今天,人们对品质生活的追求早已不局限于物质消费,更看重文化消费带来的精神享受。四九城的一砖一瓦皆有故事,国际化潮流也在此汇集碰撞,为夜间消费提质扩容,我们要充分挖掘这些得天独厚的资源禀赋,让文化底蕴与消费需求充分融合。故宫博物院举办“紫禁城上元之夜”,北京天文馆打造观星“奇妙夜”,这些深受欢迎的探索都在提示我们,________________,多在文化消费上做文章,夜间经济不仅可以成为拉动消费的新引擎,更可以成为充满意蕴的城市新名片。
填入画线句子恰当的一项是:
为了温暖度过寒冷的冬天,如今许多建筑都会在外墙做保温层,但很多时候,也恰恰是这层保温层,保住了温暖,却没能保住安全。2020年元旦当日17时许,重庆市渝北区加州花园小区A4幢发生火灾,明火于19时20分扑灭,无人员伤亡。经初步核查,火灾从加州花园小区A4幢第2层(共30层)一居民房阳台起火,火苗成立体状燃烧,引燃外墙保温层及雨棚,蔓延至第30层阳台并窜至部分居民房屋内。而这次火灾不是个例,外墙保温层引起或因保温层迅速蔓延的火灾,几乎每一年都在发生……
这段文字的意在强调:
从广义上讲,薪酬可分为经济报酬和非经济报酬。非经济报酬是指个人对工作本身或对工作在心理与物质环境上的满足感。这种非经济报酬涉及员工在工作中的心理与物质环境,对于一些员工,特别是对知识型员工来说,这部分薪酬更重要。随着经济的发展和对人员管理的日益重视,非经济报酬的激励会越来越被人们所重视。
根据上述定义,下列不属于非经济报酬的是:
红军长征,是指1934—1936年间中国工农红军主力从长江南北各苏区向陕甘革命根据地(亦称陕甘苏区)的战略转移。下列长征中的战役发生时间最晚的是:
近年来,相关监管部门强化管理,并作出明确要求,严禁节目以介绍医疗、健康、养生知识等形式直接或间接发布广告、推销商品和服务,使得部分被曝光“神医”代言的相关药品被查处、罚款,一些地方电视台也因此担责。但目前来看,相关现象并未得到明显________,反而有愈演愈烈的趋势。“神医”大行其道,除了其忽悠的本领、商业炒作、信众的盲从外,健康教育缺位、监管体系不够健全等,都是其产生的社会土壤。因此,相关部门应该________,从源头上终结“话术神医”及其背后黑灰产业链。
填入横线处的词语最恰当的一项是:
突如其来的疫情对我国经济社会发展带来前所未有的冲击,尽管中国经济长期向好的基本面没有改变,但指望疫情马上消散、发展迅速复原并不现实,一些疫情中暴露出来的短板亟待补足,中长期发展需要蓄力攒劲。时下,改革进入攻坚期,唯有央地携手把深化改革的大文章做好,才有望化危为机,迎来柳暗花明,让中国经济走出疫情、逆势腾飞。
这段文字旨在强调:
有一个装满水的圆锥形水桶(底面向下),水桶底面安有一个水龙头。已知水龙头打开后水匀速流出,108分钟可将全部水排出,当水面高度还剩下最初的三分之一时,问排出剩余水需要多少分钟?
所谓“舛互”,指说话或写文章时对所要表达的对象先全部肯定后又部分否定,或先全部否定后又部分肯定的一种修辞方式。特征是句子的前后两部分看上去是矛盾的,即后面的例外包含在前面的统称中,句子的前后两部分呈包含和被包含的关系。其语用功能主要表现在加强肯定或否定的语气,以引起话语接受者的注意,加深接受者对表达内容的记忆和印象。
根据上述定义,下列未使用舛互修辞的是:
1.近日,中央广播电视总台的喜剧类电视节目《金牌喜剧班》热播,引起广泛讨论。节目中,喜剧演员陈佩斯提出的“创造笑声是创作的出发点,而非创作手段”,令人深思。
2.喜剧观赏是轻松的,喜剧创作却是严肃、有艺术规律的。好笑,是检验喜剧质量的标准之一,但不应成为唯一标准。
3.“唯笑点论”是一种创作上的短视。盲目或一味追求好笑,消解的将是喜剧创作者对现实的敏锐程度、对复杂生活的认知能力,强化的是形式单调、内容空洞的“段子手”特质。
4.________________。观演间达成了某种“心照不宣”,观众才能会心一笑。这种理解的形成,需要戏剧情境和情节铺垫,靠的是演员与观众递进式的交流。当演员的戏剧动作在情理之中、意料之外时,笑,便产生了。
5.创造笑声变成一种创作手段,揭示出当下喜剧创作中的一些值得注意的倾向。比如,创作中过度追求密集的笑点,攒“段子”优先于写故事,喜剧作品成了单纯的包袱堆砌、才艺表演叠加、网络流行语拼接;一些创作者抱着急于求成的心态,在创作中追求处处立竿见影、句句直接使用、时时见到喜剧效果;急于追求观众的即时反馈,导致作品的人物塑造流于表面,故事缺乏逻辑,创作容易陷入套路化。
6.究其根本,是这些创作者没有从喜剧的本质、戏剧的本质出发进行创作,忽视了结构和叙事的重要性。以相声为例,讲究“三翻四抖”,层层铺垫后的突然转折,才有喜剧效果。每句话都带个包袱,如何产生反差?怎么形成节奏?如果一句看似好笑的台词不能推动喜剧作品内容的发展,那么它放在相声中,就是不成功的“外插花”包袱,观众当时也许会笑,但很快会遗忘,还会影响表演者后面的包袱设计。
7.喜剧创作者的首要任务,是讲好一个故事、架构好情节,而后在过程中自然地引人发笑,而不是为了逗观众笑,讲一个不合逻辑甚至脱离现实的故事。这是________。
8.很多人感叹经典喜剧作品的深远影响力。事实上,那些被我们真正记住的,被岁月留下的,是台词背后反映生活、观照现实的思辨力量。那些值得反复品味的喜剧精品,有格调、有智慧、有情怀。它们让我们相信,真正的笑是可以穿透岁月的回声。
9.越是写微小、局部,就越需要有在时代大背景上开疆拓土的视野和张力。喜剧创作不是从笑点到笑声,而是从生活到笑声。于精神世界有所拓展、于世道人心有所补益、于思想境界有所提升,才是喜剧创作的立身之本。保持创作的自觉与理性,才能回归真正的喜剧精神,赢得观众认可,经受住时间考验。10.如果将喜剧比作一道菜,笑点便是菜中的调味剂。倘若脱离了主食材,脱离了故事主体,一堆佐料堆砌而成的,依旧是佐料,成不了一盘菜。“味道”是足了,营养却没了。
最适合做这篇文章标题的是:
甲、乙两车同时同地出发,分别以一定的速度在环形公路上相向而行,第一次相遇之后,甲减速
,乙增速
,发现第二次相遇所用时间比第一次少
,则甲乙两车原来速度之比为:
下列立体图形是立方体中挖出上下两个圆锥体后形成,如果从任意面剖开,以下哪个不可能是该立体图形的截面?

甲、乙两人修建一条小路。甲单独修建需要9小时,乙单独修建需要11小时。现在甲、乙两人同时开始工作,但是两人每小时共少修20米的路,最后用时5个半小时修完这条小路。那么这条小路共有多少米?
中国画用笔技法多样。中锋:笔杆垂直于纸面,行笔时锋尖处于墨线中心。侧锋:笔杆倾斜于纸面,笔锋和笔肚接触纸面。藏锋:笔锋要藏而不露。露锋:与藏锋的运笔刚好相反,它以笔尖着纸,故意露出笔锋,收笔时渐行渐提笔杆。
根据上述定义,下列4种笔法依次为:

调解是指双方或多方当事人就争议的实体权利、义务,在人民法院、人民调解委员会及有关组织主持下,自愿进行协商,通过教育疏导,促成各方达成协议、解决纠纷的办法。
根据上述定义,下列哪个选项符合调解的定义?
辐合思维指要求得出一个正确答案的思维。其特征是搜集或综合信息与知识,运用逻辑规律,将与问题有关的信息聚合起来,缩小解答范围,寻找一个正确答案的思维形式。
根据上述定义,以下不属于辐合思维的是:
近日,有媒体聚焦不少地方面临的“盖学校易,招老师难”局面。在许多公办园内,在编教师和非在编教师就有相当大的差距,由于编制的稀缺和低流动性,决定了在非在编教师占大多数的幼儿园,教师薪酬水平并不取决于公办园内在编教师这个长板,而是取决于公办园内为数不少的非在编教师这个短板,而这也加大了民办幼儿园教师的流动性。换言之,率先实现公办幼儿园内的同工同酬,提高非在编教师的待遇、地位和尊严,才能通过传导作用,影响民办幼儿园教师的薪酬待遇,进而提高整体幼儿园教师的薪酬地位,发挥有限的在编教师的引领示范作用,激活幼儿园教师队伍健康发展的一汪春水。
这段文字旨在说明:
2021年1—4月份,全国规模以上工业企业实现利润总额25943.5亿元,同比增长1.06倍,比2019年1—4月份增长49.6%。
1—4月份,规模以上工业企业中,国有控股企业实现利润总额8380.7亿元,同比增长1.87倍;股份制企业实现利润总额18253.5亿元,增长1.08倍;外商及港澳台商投资企业实现利润总额7250.2亿元,增长1.07倍;私营企业实现利润总额7672.7亿元,增长69.2%。
1—4月份,采矿业实现利润总额2171.3亿元,同比增长1.03倍;制造业实现利润总额21963.1亿元,增长1.14倍;电力、热力、燃气及水生产和供应业实现利润总额1809.1亿元,增长45.1%。
1—4月份,在41个工业大类行业中,39个行业利润总额同比增加,1个行业扭亏为盈,1个行业实现减亏。主要行业利润情况如下:有色金属冶炼和压延加工业利润总额同比增长4.84倍,黑色金属冶炼和压延加工业增长4.16倍,化学原料和化学制品制造业增长2.72倍,汽车制造业增长1.58倍,石油和天然气开采业增长1.19倍,煤炭开采和洗选业增长91.5%,计算机、通信和其他电子设备制造业增长86.2%,电气机械和器材制造业增长85.8%,专用设备制造业增长77.7%,通用设备制造业增长67.7%,非金属矿物制品业增长40.8%,电力、热力生产和供应业增长40.5%,纺织业增长16.6%,农副食品加工业增长16.6%,石油、煤炭及其他燃料加工业由同期亏损转为盈利。
2020年1—4月份,全国规模以上工业企业实现利润总额同比约:
2021年1—4月份,全国规模以上工业企业实现利润总额25943.5亿元,同比增长1.06倍,比2019年1—4月份增长49.6%。
1—4月份,规模以上工业企业中,国有控股企业实现利润总额8380.7亿元,同比增长1.87倍;股份制企业实现利润总额18253.5亿元,增长1.08倍;外商及港澳台商投资企业实现利润总额7250.2亿元,增长1.07倍;私营企业实现利润总额7672.7亿元,增长69.2%。
1—4月份,采矿业实现利润总额2171.3亿元,同比增长1.03倍;制造业实现利润总额21963.1亿元,增长1.14倍;电力、热力、燃气及水生产和供应业实现利润总额1809.1亿元,增长45.1%。
1—4月份,在41个工业大类行业中,39个行业利润总额同比增加,1个行业扭亏为盈,1个行业实现减亏。主要行业利润情况如下:有色金属冶炼和压延加工业利润总额同比增长4.84倍,黑色金属冶炼和压延加工业增长4.16倍,化学原料和化学制品制造业增长2.72倍,汽车制造业增长1.58倍,石油和天然气开采业增长1.19倍,煤炭开采和洗选业增长91.5%,计算机、通信和其他电子设备制造业增长86.2%,电气机械和器材制造业增长85.8%,专用设备制造业增长77.7%,通用设备制造业增长67.7%,非金属矿物制品业增长40.8%,电力、热力生产和供应业增长40.5%,纺织业增长16.6%,农副食品加工业增长16.6%,石油、煤炭及其他燃料加工业由同期亏损转为盈利。
2020年1—4月份,我国制造业实现利润总额约是采矿业的多少倍?
2021年1—4月份,全国规模以上工业企业实现利润总额25943.5亿元,同比增长1.06倍,比2019年1—4月份增长49.6%。
1—4月份,规模以上工业企业中,国有控股企业实现利润总额8380.7亿元,同比增长1.87倍;股份制企业实现利润总额18253.5亿元,增长1.08倍;外商及港澳台商投资企业实现利润总额7250.2亿元,增长1.07倍;私营企业实现利润总额7672.7亿元,增长69.2%。
1—4月份,采矿业实现利润总额2171.3亿元,同比增长1.03倍;制造业实现利润总额21963.1亿元,增长1.14倍;电力、热力、燃气及水生产和供应业实现利润总额1809.1亿元,增长45.1%。
1—4月份,在41个工业大类行业中,39个行业利润总额同比增加,1个行业扭亏为盈,1个行业实现减亏。主要行业利润情况如下:有色金属冶炼和压延加工业利润总额同比增长4.84倍,黑色金属冶炼和压延加工业增长4.16倍,化学原料和化学制品制造业增长2.72倍,汽车制造业增长1.58倍,石油和天然气开采业增长1.19倍,煤炭开采和洗选业增长91.5%,计算机、通信和其他电子设备制造业增长86.2%,电气机械和器材制造业增长85.8%,专用设备制造业增长77.7%,通用设备制造业增长67.7%,非金属矿物制品业增长40.8%,电力、热力生产和供应业增长40.5%,纺织业增长16.6%,农副食品加工业增长16.6%,石油、煤炭及其他燃料加工业由同期亏损转为盈利。
2021年1—4月份,我国规模以上工业企业实现利润总额中非股份制企业实现利润总额占比约为:
2021年1—4月份,全国规模以上工业企业实现利润总额25943.5亿元,同比增长1.06倍,比2019年1—4月份增长49.6%。
1—4月份,规模以上工业企业中,国有控股企业实现利润总额8380.7亿元,同比增长1.87倍;股份制企业实现利润总额18253.5亿元,增长1.08倍;外商及港澳台商投资企业实现利润总额7250.2亿元,增长1.07倍;私营企业实现利润总额7672.7亿元,增长69.2%。
1—4月份,采矿业实现利润总额2171.3亿元,同比增长1.03倍;制造业实现利润总额21963.1亿元,增长1.14倍;电力、热力、燃气及水生产和供应业实现利润总额1809.1亿元,增长45.1%。
1—4月份,在41个工业大类行业中,39个行业利润总额同比增加,1个行业扭亏为盈,1个行业实现减亏。主要行业利润情况如下:有色金属冶炼和压延加工业利润总额同比增长4.84倍,黑色金属冶炼和压延加工业增长4.16倍,化学原料和化学制品制造业增长2.72倍,汽车制造业增长1.58倍,石油和天然气开采业增长1.19倍,煤炭开采和洗选业增长91.5%,计算机、通信和其他电子设备制造业增长86.2%,电气机械和器材制造业增长85.8%,专用设备制造业增长77.7%,通用设备制造业增长67.7%,非金属矿物制品业增长40.8%,电力、热力生产和供应业增长40.5%,纺织业增长16.6%,农副食品加工业增长16.6%,石油、煤炭及其他燃料加工业由同期亏损转为盈利。
2021年1—4月份,我国下列企业实现利润总额同比增长由多到少排序正确的是:
2021年1—4月份,全国规模以上工业企业实现利润总额25943.5亿元,同比增长1.06倍,比2019年1—4月份增长49.6%。
1—4月份,规模以上工业企业中,国有控股企业实现利润总额8380.7亿元,同比增长1.87倍;股份制企业实现利润总额18253.5亿元,增长1.08倍;外商及港澳台商投资企业实现利润总额7250.2亿元,增长1.07倍;私营企业实现利润总额7672.7亿元,增长69.2%。
1—4月份,采矿业实现利润总额2171.3亿元,同比增长1.03倍;制造业实现利润总额21963.1亿元,增长1.14倍;电力、热力、燃气及水生产和供应业实现利润总额1809.1亿元,增长45.1%。
1—4月份,在41个工业大类行业中,39个行业利润总额同比增加,1个行业扭亏为盈,1个行业实现减亏。主要行业利润情况如下:有色金属冶炼和压延加工业利润总额同比增长4.84倍,黑色金属冶炼和压延加工业增长4.16倍,化学原料和化学制品制造业增长2.72倍,汽车制造业增长1.58倍,石油和天然气开采业增长1.19倍,煤炭开采和洗选业增长91.5%,计算机、通信和其他电子设备制造业增长86.2%,电气机械和器材制造业增长85.8%,专用设备制造业增长77.7%,通用设备制造业增长67.7%,非金属矿物制品业增长40.8%,电力、热力生产和供应业增长40.5%,纺织业增长16.6%,农副食品加工业增长16.6%,石油、煤炭及其他燃料加工业由同期亏损转为盈利。
根据上述资料,以下说法正确的是:
《最高人民法院关于适用〈中华人民共和国刑事诉讼法〉的解释》自2021年3月1日起施行,下列相关内容错误的是:
近些年,在刑罚执行过程中,花钱减刑、假专利减刑、假证明保外就医等________。甚至一度出现过一些让人________的现象:有的法院判完刑、送达完法律文书后,就当起了“甩手掌柜”;罪犯一般应从公安看守所投送到监狱服刑,但在罪犯投送公安看守所的前端环节,竟曾有公安看守所以罪犯患有皮肤病为由不予接收,导致后端的投监服刑“空转”。
填入横线处最恰当的一项是:
科学家们现在已经确信,火星曾经像地球一样非常温暖潮湿,有着很厚的大气层。那么究竟是什么原因,火星变成了我们今天所认识的极为干燥、寒冷的星球?2013年11月,美国NASA发射了“火星大气与挥发物演化任务”(MAVEN)探测器,它的使命是调查火星大气失踪之谜,并寻找火星上早期拥有的水及大气消失的原因。MAVEN火星探测结果显示,关于火星大气层稀薄有两大原因:其一是火星磁场薄弱,其二是火星引力太小。因此,缺少全球性偶极磁场保护的火星,在强烈的太阳风和辐射下,它的大气逐渐被剥夺,同理,如果地球内部变冷,磁场变弱,可能也会重蹈火星覆辙。
这段文字意在强调:
有3个女孩儿(甲、乙、丙)来自X国和Y国。她们之中有1人是X国人,X国人总是说假话。另外,以下的发言中,Y国人的女孩儿中的一个说了实话而另一个说了假话。
红衣服的女孩儿:“X国人不是女孩儿丙。”
粉红色衣服的女孩儿:“白衣服的女孩儿是甲。”
白色衣服的女孩儿:“红衣服的女孩儿不是X国人。”
那么,说真话的女孩儿是哪个呢?
有研究人员声称找到了一种可以控制糖尿病人血糖的方法,通过对比实验发现,2型糖尿病患者通过加强锻炼一般都会得到更好的血糖控制。即使是很简单的运动,如每天步行20分钟,只要能坚持下去,就可以有效地改善胰岛素抵抗和减轻体重。而没有经常锻炼的2型糖尿病患者血糖并没有降低。研究证实,经过合理的运动锻炼,糖尿病患者确实可以减少降糖药的用量,甚至可以完全脱离药物治疗。
以下哪项如果为真,最能支持上述结论?
水痘常发于儿童和青少年时期,一般能自己痊愈,症状比较轻。在被我们的免疫系统打败后,少量的漏网病毒并没有________。它脱去外壳只剩光溜溜的DNA遗传物质潜伏在神经元细胞里,关闭复制功能,进入休眠状态。随着年龄的增长或者免疫缺陷,我们的自身免疫力降低时,它们被激活,________,大量复制,改头换面,引发带状疱疹。
填入横线部分最恰当的一项是:
1.近日,中央广播电视总台的喜剧类电视节目《金牌喜剧班》热播,引起广泛讨论。节目中,喜剧演员陈佩斯提出的“创造笑声是创作的出发点,而非创作手段”,令人深思。
2.喜剧观赏是轻松的,喜剧创作却是严肃、有艺术规律的。好笑,是检验喜剧质量的标准之一,但不应成为唯一标准。
3.“唯笑点论”是一种创作上的短视。盲目或一味追求好笑,消解的将是喜剧创作者对现实的敏锐程度、对复杂生活的认知能力,强化的是形式单调、内容空洞的“段子手”特质。
4.________________。观演间达成了某种“心照不宣”,观众才能会心一笑。这种理解的形成,需要戏剧情境和情节铺垫,靠的是演员与观众递进式的交流。当演员的戏剧动作在情理之中、意料之外时,笑,便产生了。
5.创造笑声变成一种创作手段,揭示出当下喜剧创作中的一些值得注意的倾向。比如,创作中过度追求密集的笑点,攒“段子”优先于写故事,喜剧作品成了单纯的包袱堆砌、才艺表演叠加、网络流行语拼接;一些创作者抱着急于求成的心态,在创作中追求处处立竿见影、句句直接使用、时时见到喜剧效果;急于追求观众的即时反馈,导致作品的人物塑造流于表面,故事缺乏逻辑,创作容易陷入套路化。
6.究其根本,是这些创作者没有从喜剧的本质、戏剧的本质出发进行创作,忽视了结构和叙事的重要性。以相声为例,讲究“三翻四抖”,层层铺垫后的突然转折,才有喜剧效果。每句话都带个包袱,如何产生反差?怎么形成节奏?如果一句看似好笑的台词不能推动喜剧作品内容的发展,那么它放在相声中,就是不成功的“外插花”包袱,观众当时也许会笑,但很快会遗忘,还会影响表演者后面的包袱设计。
7.喜剧创作者的首要任务,是讲好一个故事、架构好情节,而后在过程中自然地引人发笑,而不是为了逗观众笑,讲一个不合逻辑甚至脱离现实的故事。这是________。
8.很多人感叹经典喜剧作品的深远影响力。事实上,那些被我们真正记住的,被岁月留下的,是台词背后反映生活、观照现实的思辨力量。那些值得反复品味的喜剧精品,有格调、有智慧、有情怀。它们让我们相信,真正的笑是可以穿透岁月的回声。
9.越是写微小、局部,就越需要有在时代大背景上开疆拓土的视野和张力。喜剧创作不是从笑点到笑声,而是从生活到笑声。于精神世界有所拓展、于世道人心有所补益、于思想境界有所提升,才是喜剧创作的立身之本。保持创作的自觉与理性,才能回归真正的喜剧精神,赢得观众认可,经受住时间考验。10.如果将喜剧比作一道菜,笑点便是菜中的调味剂。倘若脱离了主食材,脱离了故事主体,一堆佐料堆砌而成的,依旧是佐料,成不了一盘菜。“味道”是足了,营养却没了。
对这篇文章理解不正确的是:
把下面的六个图形分为两类,使每一类图形都有各自的共同特征或规律,分类正确的一项是:

饮酒对人体的影响一直存在争议,科学家发现,2016年,全球有280万人的死亡都涉及酒精。日前一项研究报告指出即使只摄取少量酒精,也会增加患上严重疾病的风险。
以下哪项如果为真,最能加强上述论证?
“泡椒鸡爪耐储存是因为核技术”的报道一出现,就引发了全民的热议。很多网友惊讶于核技术竟然能被用在鸡爪存储上,同时也开始担心经过核技术处理的鸡爪的安全性,因沾染了放射性物质的食品一旦摄入会引发多种疾病,有人据此认为,被核“照”过的鸡爪可能致癌。
以下哪项如果为真,最能削弱上述观点?
抗生素本质上是微生物或高等动植物在生活过程中所产生的一类次级代谢产物,具有抗病原体或其他活性作用,会干扰其他细胞的发育功能。然而细菌在与抗生素的博弈中,变得越来越厉害,现在,致病菌对抗生素产生耐药性,这使得抗生素的使用愈发频繁。现在,滥用抗生素已经成为一个令全世界都关切的重要公共卫生问题,治疗抗生素耐药性感染已经越来越困难、越来越昂贵。日前,有研究团队发现,接种了肺炎球菌结合疫苗或轮状病毒疫苗的儿童与未接种疫苗的儿童相比,前者发生以抗生素治疗的呼吸道感染和腹泻感染的几率分别降低了8.7%和8.1%。如果在已使用这些疫苗的国家扩大疫苗接种覆盖范围,而在未使用的国家中为儿童引入疫苗接种,那么有可能额外预防4000万次以抗生素治疗的疾病的发作。
这段文字意在强调:
职业教育是一种区别于普通教育的类型教育,而不是一种教育层次,这是职业教育的鲜明定位。但是受传统观念的影响以及职业教育人才培养水平不高,成长“天花板”太低等多种因素的影响,很长时间以来职业教育的吸引力不强,甚至成为“低人一等”的“二流教育”。由此,出现了一边是技工荒,一边是家长不愿意让孩子上职校的局面,形成了人才供给的结构性矛盾。解决这些问题,必须构建现代职业教育发展体系,用高质量的职业教育体系,用高质量的技术技能人才培养水平来破解。
这段文字意在说明:
下边四个图形中,只有一个是由上边的四个图形拼合(只能通过上、下、左、右平移)而成的,请把它找出来。

有一段环形路如图所示,每条边均为10米,甲乙两人分别从A、B两点同时出发,沿着路相向而行,甲的速度为每分钟50米,乙的速度为每分钟45米,则( )分钟后甲、乙第一次在顶点相遇。

某证券公司组织员工参加周末的两项业务培训,其中参加金融学培训、参加财务学培训以及两者均参加的人数之比为5:5:1,只参加了一项培训的人数是两项培训都未参加的人数的6倍,则该公司员工总人数最少为( )人。
某医院原计划采购普通医用口罩和N95口罩共480箱,采购时因为供货量的问题,将
的N95口罩换为普通医用口罩,此时,N95口罩和普通医用口罩的箱数之比为1:3,则医院原计划采购N95口罩( )箱。
某社区有100本防疫手册供各小区居民借阅,借阅时需在每本书的借阅单上签名,甲乙丙三个小区的物业负责人统一借阅,经统计,在这100本防疫手册的借阅单上有甲乙丙签名的分别有37,44,59本,其中同时有甲乙签名的有31本,同时有甲丙签名的有23本,同时有乙丙签名的有33本。则这些防疫手册中至少有( )本没有被甲乙丙中任何一人借阅过。
2022年7月7日,国家互联网信息办公室公布《( )安全评估办法》,自2022年9月1日起施行。
2022年7月13日,国家林草局发布消息,2021年,完成造林5400万亩,治理沙化、石漠化土地2160万亩,首次实行造林任务直达到县落地上图,以( )为主体的自然保护地体系持续完善。
2022年8月25日,水利部主持验收南水北调东中线一期工程155个设计单元全部通过,工程全线转入正式运行阶段。此次通过验收的中线( )是南水北调的标志性、控制性工程,是我国首次运用大直径盾构施工穿越大江大河的工程,也是南水北调中线工程的咽喉项目。
2022年8月12日,习近平总书记向国际民间社会共同落实全球发展倡议交流大会致贺信指出,( )是人类社会的永恒主题,各国人民热切期盼通过其实现对美好生活的向往。
2022年8月16日,科技部、中央宣传部、中国科协共同编制的《“十四五”国家科学技术普及发展规划》正式公布。规划明确,到2025年,公民具备科学素质的比例超过( )。
2022年9月7日,由铁四院牵头设计的新“万里长江第一隧”——( )开工建设。
2022年10月28日电,世界银行发布报告显示,2013年到2021年中国对世界经济增长的平均贡献率为( )。这一数字超过G7国家贡献率的总和。
根据《中华人民共和国行政许可法》,下列说法正确的是:
关于《中华人民共和国农民专业合作社法》,下列说法正确的是:
由于建立起多物种共栖,多层次优化配置,多级能循环利用的生产模式,有利于发展多样性生产,大幅度________了土地的产出率,经济效益显著。只要进一步加强领导,因地制宜推广各地经验,我省发展立体农业是________的。
填入横线部分最恰当的一项是:
有两个不透明的抽奖箱,里面都放有大小形状相同的红黑小球各2颗,小明和小白分别从两个抽奖箱中各抽取2颗小球,则二人抽取的小球颜色不完全相同的概率为:

因授课需要,老张、老王、老李三位教授每隔一定时间去一次教学楼。老张每3天去一次,老王每隔3天去一次,老李每隔5天去一次。6月29日三人同时去教学楼,则下一次三人同去教学楼的日期是哪一天?
下边四个小图形中,只有一个是由上边的四个图形拼合而成(只能通过上,下,左,右平移),请把它找出来:

下边四个图形中,只有一个是由上边的四个图形拼合(只能通过上、下、左、右平移)而成的,请在图中把它找出来。

下边四个图形中,只有一个是由左边的四个图形拼合(只能通过上、下、左、右平移)而成的,请把它找出来。

大白:“我不认为孩子们应该往大街上乱跑。”
小白:“应该把孩子们关起来,不让他们呼吸新鲜空气。”
以下选项的逻辑推理结构与题干最为相似的是:
化妆舞会上,有白雪公主、灰姑娘、米老鼠、小矮人、唐老鸭、小红帽、灰太狼7个角色,甲、乙、丙、丁、戊、己、庚7网友每人只能扮演其中一个,且每个角色只能由其中一人扮演。根据各网友的特点,角色安排如下:
(1)如果甲不扮演灰姑娘,则乙扮演白雪公主。
(2)如果丙或己扮演小矮人,则丁扮演灰太狼。
(3)如果乙不扮演白雪公主,则丙扮演小矮人。
(4)如果丁不扮演小红帽,则庚或戊扮演灰姑娘。
根据上述信息,可以得出以下哪项?
化妆舞会上,有白雪公主、灰姑娘、米老鼠、小矮人、唐老鸭、小红帽、灰太狼7个角色,甲、乙、丙、丁、戊、己、庚7网友每人只能扮演其中一个,且每个角色只能由其中一人扮演。根据各网友的特点,角色安排如下:
(1)如果甲不扮演灰姑娘,则乙扮演白雪公主。
(2)如果丙或己扮演小矮人,则丁扮演灰太狼。
(3)如果乙不扮演白雪公主,则丙扮演小矮人。
(4)如果丁不扮演小红帽,则庚或戊扮演灰姑娘。
若甲扮演灰姑娘而庚扮演唐老鸭,则可以得出以下哪项?
化妆舞会上,有白雪公主、灰姑娘、米老鼠、小矮人、唐老鸭、小红帽、灰太狼7个角色,甲、乙、丙、丁、戊、己、庚7网友每人只能扮演其中一个,且每个角色只能由其中一人扮演。根据各网友的特点,角色安排如下:
(1)如果甲不扮演灰姑娘,则乙扮演白雪公主。
(2)如果丙或己扮演小矮人,则丁扮演灰太狼。
(3)如果乙不扮演白雪公主,则丙扮演小矮人。
(4)如果丁不扮演小红帽,则庚或戊扮演灰姑娘。
内卷,本意是指人类社会在一个发展阶段达到某种确定的形式后,停滞不前或无法转化为另一种高级模式的现象。现在很多高校学生来指代非理性的内部竞争或“被自愿”竞争。这个词在大学生中广为流传、屡次出圈,引起了一波又一波网络讨论。
根据上述定义,下列符合“内卷”现象的是:
按照马克思的理论,失业即是劳动者未能与生产资料相结合。而亚失业的特殊之处在于,劳动者跟生产资料结合了,但未能发挥其隐蔽的潜能,企业也不再以追求更高的劳动效率为目标。这种情况,在20世纪30年代的经济大萧条时曾经涌现,对这种情况,西方经济学家琼·罗宾逊首次提出“隐形失业”这一概念。其原意是指城市工人在危机时期为避免失业而被迫接受一些知识、技能和经验都得不到充分利用的工作。
根据上述定义,下列属于亚失业的是:
“若是你在一年中不曾有过失败的记载,你就未曾勇于尝试各种应该把握的机会。”这就是“比伦定律”,它由美国考皮尔公司前总裁F·比伦提出。万象世界,成败相依。比伦定律辩证地认知“失败”,把失败看做是成功的前奏,失败也是一种机会。
根据上述定义,下列没有体现比伦定律的是: