2022年4月10日,《中共中央国务院关于加快建设全国统一大市场的意见》(以下简称《意见》)发布,建设全国统一大市场是构建新发展格局的基础支撑和内在要求。下列不属于《意见》主要目标的是:
关于经济常识,下列表述正确的是:
卖萌营销是市场行销手段之一。它既是一种品牌亲民化沟通的方式,也是品牌与消费者互动的一种方式。不同品牌有着不同的卖萌方式:有的通过小孩,有的通过动物,有的则本身就拥有“萌基因”。
根据上述定义,下列选项中不属于卖萌营销的是:
“________________”。习近平总书记深刻指出“中华民族在几千年历史中创造和延续的中华优秀传统文化,是中华民族的根和魂”,强调“博大精深的中华优秀传统文化是我们在世界文化激荡中站稳脚跟的根基”,宣示“如果没有中华五千年文明,哪里有什么中国特色?如果不是中国特色,哪有我们今天这么成功的中国特色社会主义道路?”一路走来,习近平总书记将中华文明的精华与马克思主义立场观点方法结合起来,在延续民族文化血脉中开拓前进,在守正创新中开拓中华文化发展的新境界。
填入划横线部分最合适的一项是:
一个文化群体的“美”到底由谁来定义,又应该如何定义?这一问题的出现,具有漫长的历史渊源,而________其边界,则具有现实的必要性、重要性。很长时间以来,在世界文化格局中处于强势一方的西方发达国家,对于包括中国在内的东方国家的文化的定义与描绘从未曾停止。这种定义和描绘却常常带有误解甚至________,是漠视这些国家的文化本体与历史遭遇的结果。
填入横线处的词语最恰当的一项是:
由于医疗美容的专业性,诊疗机构与消费者之间存在天然的、明显的信息不对称,消费者往往________渠道或意识去________美容机构的资质。
填入划横线部分最恰当的一项是:
某玩具需要将一个圆球正好放入一个有盖的圆柱体中,球体与圆柱的上下底面相切,则此球体与圆柱体的表面积之比为:
把下面的六个图形分为两类,使每一类图形都有各自的共同特征或规律,分类正确的一项是:

澳洲野狗多年来一直被大家认为是打不死的小强。在澳洲昆士兰等很多地方,根据当地土地保护法案,澳洲野狗被列为有害物种。它们遍布了除塔斯马尼亚岛以外的整个澳洲大陆,有效限制了野猫和狐狸的数量,阻止野猫、狐狸危害其他小动物;同时也捕猎数量过剩的袋鼠,改善土壤质量,增加物种多样性。对此有专家提出:如果将澳洲野狗捕杀殆尽,可能会引起这些物种的泛滥,严重破坏生态环境。
以下哪项如果为真,最能反驳专家结论?
2021年全国棉花播种面积为3028.1千公顷,比上年下降4.4%。其中,我国最大产棉区新疆棉花播种面积为2506.1千公顷,比上年增长0.2%。新疆棉花播种面积增加的主要原因是国家对该地区继续实行棉花目标价格补贴政策,加之去年以来棉花价格上涨,农户种棉积极性较为稳定。其他棉区受种植效益和种植结构调整等因素影响,棉花播种面积比上年下降21.7%,自2009年以来连续13年下降。其中,长江流域棉区播种面积比上年减少51.7千公顷,下降18.2%;黄河流域棉区播种面积比上年减少91.8千公顷,下降25.7%。
2021年全国棉花单位面积产量为1892.6公斤/公顷,比上年增长1.5%。其中,新疆地区棉花单位面积产量为2046.4公斤/公顷,比上年下降0.8%。由于今年新疆春季低温时间长,夏季局部阶段性干旱,对棉花生产造成不利影响,但后期气象条件转好,农户加强田间管理,新疆棉花单产稳中略降。其他棉区气象条件总体较为适宜,棉花单位面积产量为1153.9公斤/公顷,比上年增长2.7%。其中,长江流域棉区单位面积产量为1049.5公斤/公顷,比上年增长3.8%;黄河流域棉区单位面积产量为1199.3公斤/公顷,比上年增长1.7%。
2021年全国棉花产量约为多少万吨?
2021年全国棉花播种面积为3028.1千公顷,比上年下降4.4%。其中,我国最大产棉区新疆棉花播种面积为2506.1千公顷,比上年增长0.2%。新疆棉花播种面积增加的主要原因是国家对该地区继续实行棉花目标价格补贴政策,加之去年以来棉花价格上涨,农户种棉积极性较为稳定。其他棉区受种植效益和种植结构调整等因素影响,棉花播种面积比上年下降21.7%,自2009年以来连续13年下降。其中,长江流域棉区播种面积比上年减少51.7千公顷,下降18.2%;黄河流域棉区播种面积比上年减少91.8千公顷,下降25.7%。
2021年全国棉花单位面积产量为1892.6公斤/公顷,比上年增长1.5%。其中,新疆地区棉花单位面积产量为2046.4公斤/公顷,比上年下降0.8%。由于今年新疆春季低温时间长,夏季局部阶段性干旱,对棉花生产造成不利影响,但后期气象条件转好,农户加强田间管理,新疆棉花单产稳中略降。其他棉区气象条件总体较为适宜,棉花单位面积产量为1153.9公斤/公顷,比上年增长2.7%。其中,长江流域棉区单位面积产量为1049.5公斤/公顷,比上年增长3.8%;黄河流域棉区单位面积产量为1199.3公斤/公顷,比上年增长1.7%。
2021年,黄河流域棉区播种面积约是长江流域棉区播种面积的多少倍?
2021年全国棉花播种面积为3028.1千公顷,比上年下降4.4%。其中,我国最大产棉区新疆棉花播种面积为2506.1千公顷,比上年增长0.2%。新疆棉花播种面积增加的主要原因是国家对该地区继续实行棉花目标价格补贴政策,加之去年以来棉花价格上涨,农户种棉积极性较为稳定。其他棉区受种植效益和种植结构调整等因素影响,棉花播种面积比上年下降21.7%,自2009年以来连续13年下降。其中,长江流域棉区播种面积比上年减少51.7千公顷,下降18.2%;黄河流域棉区播种面积比上年减少91.8千公顷,下降25.7%。
2021年全国棉花单位面积产量为1892.6公斤/公顷,比上年增长1.5%。其中,新疆地区棉花单位面积产量为2046.4公斤/公顷,比上年下降0.8%。由于今年新疆春季低温时间长,夏季局部阶段性干旱,对棉花生产造成不利影响,但后期气象条件转好,农户加强田间管理,新疆棉花单产稳中略降。其他棉区气象条件总体较为适宜,棉花单位面积产量为1153.9公斤/公顷,比上年增长2.7%。其中,长江流域棉区单位面积产量为1049.5公斤/公顷,比上年增长3.8%;黄河流域棉区单位面积产量为1199.3公斤/公顷,比上年增长1.7%。
2020年,其他棉区棉花播种面积占全国棉花播种面积的比重:
2021年全国棉花播种面积为3028.1千公顷,比上年下降4.4%。其中,我国最大产棉区新疆棉花播种面积为2506.1千公顷,比上年增长0.2%。新疆棉花播种面积增加的主要原因是国家对该地区继续实行棉花目标价格补贴政策,加之去年以来棉花价格上涨,农户种棉积极性较为稳定。其他棉区受种植效益和种植结构调整等因素影响,棉花播种面积比上年下降21.7%,自2009年以来连续13年下降。其中,长江流域棉区播种面积比上年减少51.7千公顷,下降18.2%;黄河流域棉区播种面积比上年减少91.8千公顷,下降25.7%。
2021年全国棉花单位面积产量为1892.6公斤/公顷,比上年增长1.5%。其中,新疆地区棉花单位面积产量为2046.4公斤/公顷,比上年下降0.8%。由于今年新疆春季低温时间长,夏季局部阶段性干旱,对棉花生产造成不利影响,但后期气象条件转好,农户加强田间管理,新疆棉花单产稳中略降。其他棉区气象条件总体较为适宜,棉花单位面积产量为1153.9公斤/公顷,比上年增长2.7%。其中,长江流域棉区单位面积产量为1049.5公斤/公顷,比上年增长3.8%;黄河流域棉区单位面积产量为1199.3公斤/公顷,比上年增长1.7%。
2021年黄河流域棉区的棉花产量约比去年:
2021年全国棉花播种面积为3028.1千公顷,比上年下降4.4%。其中,我国最大产棉区新疆棉花播种面积为2506.1千公顷,比上年增长0.2%。新疆棉花播种面积增加的主要原因是国家对该地区继续实行棉花目标价格补贴政策,加之去年以来棉花价格上涨,农户种棉积极性较为稳定。其他棉区受种植效益和种植结构调整等因素影响,棉花播种面积比上年下降21.7%,自2009年以来连续13年下降。其中,长江流域棉区播种面积比上年减少51.7千公顷,下降18.2%;黄河流域棉区播种面积比上年减少91.8千公顷,下降25.7%。
2021年全国棉花单位面积产量为1892.6公斤/公顷,比上年增长1.5%。其中,新疆地区棉花单位面积产量为2046.4公斤/公顷,比上年下降0.8%。由于今年新疆春季低温时间长,夏季局部阶段性干旱,对棉花生产造成不利影响,但后期气象条件转好,农户加强田间管理,新疆棉花单产稳中略降。其他棉区气象条件总体较为适宜,棉花单位面积产量为1153.9公斤/公顷,比上年增长2.7%。其中,长江流域棉区单位面积产量为1049.5公斤/公顷,比上年增长3.8%;黄河流域棉区单位面积产量为1199.3公斤/公顷,比上年增长1.7%。
能够从上述资料中推出的是:
2022年5月4日,中国13名珠峰科考队员成功登顶珠穆朗玛峰。关于珠穆朗玛峰,下列认识错误的是:
关于我国历史知识,下列表述错误的是:
下列历史情形有可能出现的是:
人体皮肤每天会堆积各种污垢,比如落在皮肤表层的粉尘灰尘、静电吸附物、化妆品及其残留物等,这些污垢既有亲水性的也有亲油性的。要想全面去除皮肤污垢,就需要针对不同污垢使用具有针对性的清洁用品。静电吸附物、在重力作用下堆积的粉尘、亲水性的汗液等污垢,只需要清水冲洗就可以轻松去除。皮肤分泌的油脂和化妆品中的各种油脂成分,虽然用热水也可以洗掉,但过高的温度会对皮肤造成伤害,因此可以选择有机溶剂来进行清洁。一些彩妆中还含有金属、矿物、成膜剂等成分,且为了追求持久妆效,会与皮肤紧密吸附,此时可以选择去污能力强的表面活性剂。
关于清洁皮肤,表述错误的是:
既要提高思想认识,锚定共同富裕目标,又要把握内在要求,对其长期性、艰巨性、复杂性要有充分估计,坚持稳扎稳打、________。去年底召开的中央经济工作会议要求“正确认识和把握实现共同富裕的战略目标和实践途径”,强调“这是一个长期的历史过程,要________朝着这个目标迈进”。
填入横线部分最恰当的一项是:
价格歧视实质上是一种价格差异,通常指商品或服务的提供者在向不同的接受者提供相同等级、相同质量的商品或服务时,在接受者之间实行不同的销售价格或收费标准。
根据上述定义,下列选项中属于价格歧视的是:
手表定律是指一个人有一只表时,可以知道现在是几点钟,而当他同时拥有两只时却无法确定。两只表并不能告诉一个人更准确的时间,反而会使看表的人失去对准确时间的信心。
根据上述定义,以下未体现手表定律的是:
一个人为了得到一件商品所愿付出的最大价值,就是这个商品的个人估值。个人估值有三个特点:是个人的,不是集体的;是主观的,不是客观的;是由行动支配的,不是凭空的愿望。
根据上述定义,下列哪项体现了个人估值?
重视孩子的学习是一件好事,但学习并不是简单的机械加工,“大水漫灌”并不能得到父母想要的结果。很多父母在孩子低龄阶段,就抢先给孩子上种类繁多的学科启蒙班,虽然一开始孩子可以达到不错的成绩,但到了高年级后成绩反而开始下滑。专家就此给出建议,要想让孩子长久保持旺盛的学习力,关键在于在他们小时候激发孩子主动获取知识的热情,而不是让孩子参加学习班。
下列哪项如果为真,最能削弱上述结论?
为了研究眼神对于人的影响,心理学家们让32个男性评价同一个女性不同视角的照片:一张直视,一张斜视。结果发现,男性普遍觉得直视的照片更漂亮,另一项研究则发现,互相注视时间越长,觉得对方好看的程度就会越高。对视会让人产生好感甚至爱意。
以下哪项如果为真,不能支持文中的观点?
在长方形ABCD中,取两条对角线的交点O,那么在A、B、C、D、O五个点中,任取三个点,不在一条直线上的概率是多少?
针灸医学最早见于两千多年前的《黄帝内经》一书。《黄帝内经》说:“藏寒生满病,其治宜灸”,便是指灸术,其中详细描述了九针的形制,并大量记述了针灸的理论与技术。针灸作为传统中医的一种医疗手段,除在中国得到广泛应用之外,在东南亚、欧洲和美洲地区也有实践。中医针灸的功效主要在于,其一疏通经络,可使淤阻的经络通畅而发挥其正常的生理作用,是针灸最基本最直接的治疗作用;其二调和阴阳,使人的机体从阴阳失衡的状态向平衡状态改善,是针灸治疗最终要达到的目的;其三扶正祛邪,可以扶助机体正气及祛除病邪。
下列说法不符合文意的一项是:
每到求职季,总有部分人因为各种原因产生就业_______问题。顾庆乐提醒,在面临就业问题时,首先要保持一个良好的心态,在找到工作以前,最好不要把时间浪费在负面情绪上。可以利用这段空窗期看书学习,去充实自己,为下一份工作做铺垫。最重要的是________求职思路,不要设限,尤其是工作经验比较少的年轻人要学会发掘自己的闪光点。
填入横线处的词语最恰当的一项是:
4年前的平昌冬奥会,他们是唯一一对参加冰舞比赛的中国队选手,最终获得第二十二名,未能晋级自由舞阶段比赛。他们努力走出________,只为重新在冬奥会赛场证明自己。王诗玥在赛后激动落泪,她说:“更多是一种________。”柳鑫宇说:“我们滑出了目前能滑出的最好水平,非常自豪。”
填入横线处的词语最恰当的一项是:
患者刘某是来自新疆乌鲁木齐的一名游客,1年前出现全身疼痛、头颈部瘙痒至脱皮,她________省内外多家医院后都未能找出病因,医生有的诊断为“心绞痛”,有的诊断为“干燥症”,对症治疗后症状未见好转。今年初患者症状逐渐加重,全身钻心的________,导致她平日仅能平卧在床,连翻身都变得困难,也没有食欲,身体每况愈下。
填入横线处的词语最恰当的一项是:
下列哪项与古代监察制度无关:
阿尔茨海默病即俗称的“老年痴呆”,是由于脑细胞受损害而导致的一种慢性进行性脑部障碍性疾病,主要影响大脑的功能,表现为记忆力、日常生活能力等方面的障碍。据目前临床掌握的数据,此病尚无有效根治方法。然而,近期微博上的一条热搜引起了人们的广泛关注。这条微博称,一项研究指出,凭咀嚼能力可以预测患阿尔茨海默病的风险,______________________。虽然咀嚼能力和阿尔茨海默病二者看起来风马牛不相及,但是似乎有人真找到了“嚼嚼更健康”的依据。2012年,《美国老年病杂志》曾发表过一项研究。该研究对瑞典的557名77岁及以上的老人进行了调查,研究结果发现,在有多颗牙齿脱落和难以咀嚼硬质食物的人群中,出现认知障碍的几率明显更高。
填入横线部分最恰当的一项是:
与前两年“强基计划”招生相比,过去以基础学科专业为主,今年部分高校还新增了一些与基础学科关联的新型交叉学科专业和强势学科,突破了单纯基础学科的限制。从首年实施情况看,“强基计划”招生并不理想,有的高校甚至没有完成招生计划。究其原因,根本在于基础学科专业对考生的吸引力不如其他所谓“热门”专业。对此,2021年的“强基计划”做出一定的调适,扩大了入围比例并增加了高考后公布高考分数前的考生“确认环节”,相当于扩大了选材面与针对性。但需承认,基础学科专业吸引力不足的问题,依旧存在。怎么解决这一问题?有建议提出,“强基计划”的“看点”不在于高校新增“王牌”“强势”专业招生,而必须聚焦高校怎么探索具有本校特色的基础学科专业人才培养模式,提高基础学科专业的人才培养质量,如给学生创造一流的学习条件,更加注重个性化、国际化教育。
这段文字想说明:
有一环形跑道总长400米,小王和小李两人从跑道上的同一点同时出发背向而行,小王速度为5米/秒,小李速度比小王快40%,则6分钟的时间内两人相遇了几次?(出发时不算做相遇)
麻醉在手术中已经广泛应用,但是还有很多人担心,全麻手术,尤其是儿童青少年全麻手术,会对孩子智力、记忆力造成影响。首都医科大学附属北京世纪坛医院麻醉科主任医师专家表示,现在麻醉的可控性、可逆性、安全性、有效性都非常好,家长们不必担心这个问题。
以下哪项如果为真,最能支持上述医学专家的说法?
明喻是喻体、本体、比喻词同时出现的比喻,是将具有某种共同特征的两种基本上不相同事物连接起来的一种修辞手法。暗喻,意思是隐晦,常用比喻词“是”“似”“变成”等连接,有时不用比喻词。借喻是比喻的一种。是以喻体来代替本体,本体和喻词都不出现,直接把甲(本体)说成乙(喻体)。
根据上述定义,下列涉及到借喻的是:
作为中国最大的大学图书馆,北京大学图书馆的藏书可谓________,而其中8本100年前盖着蓝色藏书印章的外文图书,却是学府________的瑰宝和共产主义先驱们追寻真理的青春写照。
填入横线处的词语最恰当的一项是:
“小车竞速”“机器人表演秀”……前不久,山东济南一家科技馆举办了一场别开生面的科普活动,一个个项目吸引众多市民驻足参观体验,引来阵阵喝彩。正是这些有趣的项目,让人们在不知不觉中感受到科学的无穷魅力。如今,信息传播渠道和方式的变化,对科普工作提出了更高要求。妙趣横生的科普活动,把“有意义”与“有意思”很好结合起来,满足了公众提高科学认知和探索能力的需求,符合科学知识传播的内在规律。实践表明,如果科普活动更有趣味,使公众能够“零距离”接触科普知识,从视觉、听觉、触觉等全方位、多角度地感受科技的乐趣与神奇,有助于激发他们对科技的兴趣和热情。
这段文字意在说明:
近年来,农村大龄未婚男青年成为一些地方的社会问题。对此,全国人大代表、共青团慈利县委副书记向伟艺表示,自己工作过的农村,也存在这样的现象。看起来是个婚恋问题,其实不是一个人的问题,是多方面的,解决起来也要多管齐下。他表示,首先,青年人需要更加努力,提升自己,这样才能更有优势。其次,当地也要努力发展经济,这对于个人是重要的加分项。“比如我曾经工作过的一个村,以前是当地有名的贫困村,连道路都不通,非常不方便,大家开玩笑说全县的女孩子都不愿意嫁过去。通过几年的脱贫攻坚让村里有了翻天覆地的变化,水、电、路都有了保障,汽车能开到家门口了,村里人都跟着沾光,除了自己生活便利了,其他村的姑娘也愿意嫁过来了。”
上述文段的意图是:
有一个地产广告,拿“一碗汤的距离”做噱头,鼓励父母与子女单独居住,保持“一碗汤的距离”,这样既能够缓和天天在一起的柴米油盐扯皮,又能够保持亲人之间的新鲜感和亲密感。广告一经推出,房子销售告罄。这个广告的高明之处,在于抓住了人们保持适度距离的心理需求。再亲的人之间,也有自己的私密。“一碗汤的距离”,尊重了彼此的隐私。
文中“一碗汤的距离”是指:
火星的历史总共划分为四个纪元,分别是前诺亚纪、诺亚纪、西方纪以及亚马逊纪。距今30亿年左右,亚马逊纪开始,陨击事件和地质活动的频率进一步降低,除了局部产生的一些大型冰川作用外,火星在一点点失去自己最后的活力,并最终在漫长的演化过程中,变为今日的面貌。然而祝融号发回的火星探测结果表明在亚马逊纪时,火星上依然有着活跃的液态水作用。这个消息让科学家兴奋,他们认为这为火星孕育生命提供了更多的可能。
以下哪项如果为真,最能加强科学家的观点?
我国是统一的多民族国家,各民族团结和谐,则国家兴旺、社会安定、人民幸福;反之,则国家衰败、社会动荡、人民遭殃。习近平总书记在参加十三届全国人大五次会议内蒙古代表团审议时强调,民族团结是我国各族人民的生命线。以下相关说法正确的有几项?
①人类命运共同体意识是民族团结之本,要紧紧抓住铸牢人类命运共同体意识这条主线
②坚持党的全面领导是坚持和发展中国特色社会主义的必由之路
③团结奋斗是中国人民创造历史伟业的必由之路
④全面依法治国是党永葆生机活力、走好新的赶考之路的必由之路
下列有关《中华人民共和国民法典》的说法正确的是:
发挥好工业互联网的赋能价值,________________。制造企业若想享受技术红利,要落实信息化基础,有尝试才有收获;服务平台要成长壮大,也要扎实做好应用场景,沉淀才可能成就金字招牌;管理部门期盼新业态兴旺,更得务实着力,不忘服务制造业升级初衷,做好引导和管理。
填入划横线处最恰当的一项是:
把下面的六个图形分为两类,使每一类图形都有各自的共同特征或规律,分类正确的一项是:

鳄鱼法则,指的是假定一只鳄鱼咬住你的脚,如果你用手去试图挣脱,鳄鱼便会同时咬住你的脚与手。你愈挣扎,就被咬住得越多。所以,万一鳄鱼咬住你的脚,你唯一的办法就是牺牲一只脚。它告诉我们当发现自己的行动背离了既定的方向,必须立即停止,不得延误,不得存有侥幸心理。要承认失败,也要学会放弃。
根据上述定义,下列选项中遵循了鳄鱼法则的是:
非营利组织是指不是以营利为目的的组织,指在政府部门和以营利为目的的企业之外的一切志愿团体、社会组织或民间协会,是介于政府与营利性企业之间的“第三部门”。非营利组织所涉及的领域非常广,涉及艺术、慈善、教育、政治、宗教、学术、环保等领域。
根据上述定义,下列属于我国非营利组织的是:
如果当a同b具有关系R而b同c具有关系R时,a同c必定具有关系R,那么关系R为传递关系。如果当a同b具有关系R而b同c具有关系R时,a同c必定不具有关系R,那么关系R为反传递关系。如果当a同b具有关系R而b同c具有关系R时,a同c可能具有关系R,也可能不具有关系R,那么关系R为非传递关系。
根据上述定义,下列属于非传递关系的是:
学校组织运动会,有若干个班级参赛,每个班级参赛人数相同且每个班级中参赛的女生占比均为40%。现去掉某个班级中所有参赛的男选手,则此时参赛女生占总参赛人数的比例为
。那么此次运动会共有多少个班级参赛?
2022年,我国经济尚处在突发疫情等严重冲击后的恢复发展过程中,国内外形势又出现很多新变化,保持经济平稳运行难度加大,下列措施不属于有利于保持经济平稳措施的是:
下列关于国家宏观调控政策说法错误的是:
2022年6月5日起,《中华人民共和国噪声污染防治法》施行。下列表述与该法内容相符的是:
根据我国法律规定,下列说法错误的是:
根据《民法典》下列不属于无效婚姻的是:
下列中国近代历史事件,按时间排序正确的是:
我国历史上出现过很多有名的治世,下列说法不正确的是:
习近平总书记强调:“各级领导干部要有功成不必在我、功成必定有我的境界,不要搞________的政绩工程,多做一些功在当代、利在长远、惠及子孙的事情。”
填入画横线部分最恰当的一项是:
明确处理个人信息应当遵循合法、正当、必要和诚信原则,对人脸信息等敏感个人信息予以严格保护,规定个人对其个人信息的处理享有知情权、决定权……不久前,十三届全国人大常委会第三十次会议表决通过《中华人民共和国个人信息保护法》。这部和人们数字生活________的法律,回应了一系列社会关注的热点问题,为信息产业的未来标注了方向。
填入划线部分最恰当的一项是:
近年来,各级农业农村部门认真贯彻中央关于创新创业部署,切实落实创新创业政策,搭建能人返乡、企业兴乡、市民下乡平台,将智创、文创、农创引入乡村,促进资源要素活力竞相迸发和创新创业源泉充分涌流。目前,创新创业正在广袤农村________,为乡村产业振兴注入新动能,也为城乡融合发展________新通道。
填入横线部分最恰当的一项是:
北大毕业生樊静蓉________了自己毕业后到重庆农村工作的感受和当地的新变化。除了学会了流利的当地方言,她还磨出了不少治理创新的实功夫,校园里学到的知识,她学会用________的方式讲给乡亲们听,“他们总是热情地拉着我的手,说下次还想听我讲。”
填入横线部分最恰当的一项是:
国潮兴盛是一种积极向上的文化现象,不应该成为不良商家牟利的________;“网红”商品,也该靠质量走红、口碑飘红,而非强行“贴标”、凭空捏造。做汉服就该好好研究原创工艺,而不是大搞设计抄袭和网络控评,等于没把传统文化好好传扬,反而破坏了民族文化的流行旋律;做点心不潜心钻研口感和营养,硬要贴上“国潮”的标签,宣传的费用甚至超过了食材,如此本末倒置、名不副实,红极一时的生意恐怕________。
填入横线部分最恰当的一项是:
在“减肥-复胖-再减肥”这个循环中,她渐渐失去了自我的________感——“无休止的自我检查、自我惩罚,我不再是自己生活的‘主人’,只是在践行这个社会对我的要求。”肥胖者常常会经历一种“健身即美德”的道德捆绑,他们遭受的________也大多来源于此。
填入横线部分最恰当的一项是:
在盲盒模式下,稀缺与沉迷、抢购与囤积、炒作与哄抬等现象紧密绑定,企图牟利的商家往往大量生产,深陷其中的消费者往往大量采购,不管盒子里装的是食品、玩偶、文具还是其他东西,需求有限,而造成大量本不必要的________,对于资源皆为浪费,久而久之必定令人________。
填入横线处的词语最恰当的一项是:
在人才培养的过程中,要充分结合当地实际,________设置专业,培养一批符合本地实际产业发展方向的技能人才。与此同时,各地区各部门要________脱贫家庭新成长劳动力底数、掌握入读职业院校意愿。
填入横线处的词语最恰当的一项是:
近年来,冰淇淋市场成为各品牌创新的“试验田”,从口味、原材料到造型、文创,不断________。各路商家还纷纷将产品打上健康、愉悦、高品质生活方式等概念,令不少热衷“尝鲜”的消费者“________”。
填入横线处的词语最恰当的一项是:
“双减”政策是保障教育公平的重大举措,是促进学生全面发展、健康成长的正确途径。从严审批机构、规范培训服务行为,提高课后服务质量、________课后服务渠道,健全作业管理机制、提高作业设计质量,促进义务教育优质________发展、提升课堂教学质量……自去年7月中央“双减”文件发布以来,一系列旨在让“双减”落实落细的举措全面推进。
填入划横线部分最恰当的一项是:
实践告诉我们,发展是一个不断变化的进程,发展环境、发展条件、发展理念不会________。新发展理念是一个整体,必须完整把握、准确理解、全面落实。习近平总书记强调:“这五大发展理念相互贯通、相互促进,是具有内在联系的集合体,要统一贯彻,不能________,也不能相互替代。哪一个发展理念贯彻不到位,发展进程都会受到影响。全党同志一定要提高统一贯彻五大发展理念的能力和水平,不断开拓发展新境界。”
填入横线处的词语最恰当的一项是:
社会保障工作________,不能一味依靠增加人力、延长工时的方式来保证服务质量,这也倒逼相关部门充分利用科技成果。时下,人社部共推出了43项全国“一网通办”业务,让海量数据更好服务企业、群众。事实证明,人工智能、大数据等技术的广泛运用,切实推动社会保障工作________。
填入横线部分最恰当的一项是:
“当我们回望老一代农垦人的人生时,那些用笑容、青春甚至是生命点燃的最本真情结,正是他们留下________后人不断进取的精神火焰,值得我们铭记。”来德令哈农垦文化博物馆参观的杜先生深受感动。几代人扎根戈壁,看似平凡的工作却对海西州乃至青海省的发展建设________。
填入横线部分最恰当的一项是:
如何发动创新引擎,进一步守护“舌尖上的安全”?孙宝国委员建议,聚焦关键技术难题,重点解析个性化食品加工中特征组分效应变化机制与质量品质调控机理;在高、精、廉、自主可控的食品质量安全速测技术、产品及装备上有所突破,研发危害物非靶向智能识别技术;研发融合大数据、组学和无损检测等新技术的新资源及食品真实性鉴别与溯源技术体系;构建“新兴”组分和食品新业态全程质量安全智慧监控技术及AI智能控制平台,并进行集成示范。
这段文字意在说明:
照镜子是一件寻常的事,毕竟爱美之心人皆有之。近日,美国学者发表的一项系统综述回顾分析了近十年来有关照镜子对肥胖患者行为的影响的文献,指出对于肥胖患者,照镜子有助于减肥,其对健康饮食行为有积极的促进作用。
文段接下来最可能介绍的是:
随着信息技术快速发展,智能化服务得到推广,让生产生活更便利。但同时,不少老年人不太会上网、不太会使用智能手机,在出行、就医、消费等日常生活中遇到不便,无法充分享受智能化服务带来的便利,老年人面临的“数字鸿沟”问题日益凸显。
文段接下来最可能讲的是:
解决好就业问题,才能确保搬迁群众稳得住、逐步能致富。我们立足客观实际和群众需求,全力巩固脱贫攻坚成果,有效衔接乡村振兴,2021年稳定经营社区工厂100家,300户以上搬迁社区实现新社区工厂全覆盖,做到“楼上居住、楼下就业”。设置护林员、护河员、保洁员、信息员等扶贫公益性岗位4095个,既保障群众稳定增收,又有助于提升乡村治理水平。聚焦搬迁群众的衣食住行问题,有序推进基础设施建设,改扩建学校4所、新增学位2200个,完成县医院迁建改扩建工作、新增床位750张,建成公共停车场4个、新增车位606个。实践证明,只有始终坚持以人民为中心的发展思想,瞄准突出问题精准施策,扎实做好每一件民生实事,才能持续提升群众幸福指数。
文段的主要内容是:
据《周礼》记载,周王朝时,宫中已有完备的御膳机构和人员,包括膳夫、庖人等。他们除了“掌王之食饮膳羞,以养王及后世子”,也为宾客提供赐食,为祭祀提供供品等。北齐时期,原本负责宫廷门禁的光禄寺开始兼管宫廷饮食。隋朝,光禄寺转为管理宫廷膳食的专门机构,这一设置沿袭了一千多年,直到清朝灭亡。随着各朝宫廷人员规模的不断扩大,光禄寺不再是宫中唯一的饮食管理机构,隋朝后还增设了尚食局。一般来说,光禄寺是朝廷的正式机构,主要负责祭祀、朝会、宴会等官方活动的饮食供给,尚食局则主要为皇帝和皇室成员服务,相当于皇家私人厨房。
根据这段文字,下列说法正确的是:
据介绍,掩星探测是导航卫星上发射的信号穿过电离层和大气层后,频率、相位及幅度会发生变化,通过这种变化进行反演计算,可以得出大气温度、湿度气压及电离层电子密度等信息,弥补传统气象观测手段的不足。掩星探测技术被认为是当前大气探测中最具有潜力的手段之一,可以全天候提供全球均匀分布的中性大气和电离层信息,具有高垂直分辨率、长期稳定、无需定标、全球覆盖、全天候等优势,其探测资料在电离层环境监测与预报、提高数值天气预报精度、提升台风预报能力、临近空间环境监测、航空气象等方面具有重大应用潜力和前景。
下列说法符合文意的是:
睡眠对长高和智力发育确实有很重要的作用。但是绝大部分孩子并不存在入睡困难的问题。有人认为柠檬会产生一种特殊香气,让孩子更好地进入睡眠。深度睡眠更多的孩子,身高是长得非常快的。但实际上,想通过闻柠檬味来实现加速睡眠也不现实,因为柠檬并没有助眠功效。
这段文字的主旨是:
文艺批评走到今天,取得了不少成绩,但仍存在一些问题。其中,“失真”现象较为突出。因为“真”的失踪,文艺批评逐渐失去与大众对话的勇气和文化建设功能。因此,诚望每一位文艺批评者能从自身做起,身体力行“真善美”,这样,我们的文艺批评事业将有更大的发展。“客观性”“公正无私”“艺术”,正是对文艺批评真善美品格的强调与呼唤,这应该成为每一位文艺批评者付诸实践的座右铭。
最适合做这段文字标题的是:
社区是社会的基本单元,是人们的生活家园,是美好生活的根基。良好的社区治理能够增强社区凝聚力,维持社区安全稳定,增进社区成员社会福利,推进社区发展进步。社区不只是一处用四面墙简单围起来的居住区域,它是居民之间维系情感的空间,是具有某种共性的人口组成的社会利益共同体,这种共同体建立在一致的自然感情和文化意识基础上。生活在同一社区的人们对自己的社区有着高度认同感。大家愿意互相扶持,为创造社区的美好未来而共同努力,并逐步孕育出社区精神。社区精神则成为社区居民积极参与社区事务,实现社区事务自我管理的动力源泉。
上述文段主要强调的是:
________________。目前,乡村治理的创新推广、考核评价、绩效激励往往导致一些地方“为创新而创新”,甚至形成不计成本“抢注创新品牌”的恶性竞争。有些地方为了奖励创新,在考核体系中特别设置了“争先创优”类指标,基层和部门挖空心思为考核“特设”创新项目,不计成本投入人力、物力、财力推进项目,力求在短期内获得肯定。这一现象将导致手段与目的本末倒置。破解之道在于,减少创新的过程性考核指标,设定基层有效治理的结果性目标。
填入划横线部分最合适的一项是:
“牛奶以及奶制品致癌”的说法一直在民间流传甚广,日前一篇论文似乎让这一说法有了“科学”佐证。这项研究是针对中国人群进行的,它对50万中国人进行了长达11年的跟踪调查。相关研究数据显示,乳制品摄入与癌症发病风险呈显著性正相关——经常食用乳制品的人癌症总体发病风险较高。与此同时,上述研究数据也指出了喝牛奶对健康的益处,比如促进生长发育等,但似乎很多网友只关心“中国人喝牛奶致癌”这一点。国内外学术界一直有关于“牛奶是否致癌”的研究,研究者们普遍认为喝牛奶给人体带来的益处是主要的,这个观点占据了绝对上风。截至目前,关于牛奶致癌的说法,没有可靠科学依据,而饮用它的益处却很明确。
这段文字意在说明:
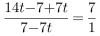
某种商品的利润率为40%,如果每件降价60元,则销售80%即可回本。商品某天在定价基础上打九折销售,当天利润总额在1万元以上。问当天这种商品最低销量为:
一项工程,甲、乙两个工程队合作8天可以完成60%,剩下的甲工程队先做7天,乙工程队再做4天即可完成。已知甲工程队每天收费1000元,乙工程队每天收费1200元,那么将这项工程交给甲工程队单独完成可比交给乙工程队单独完成:
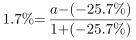
珠宝柜台在摆放首饰时都是将最贵的摆在中间,价格便宜的摆在两侧。已知某柜台总共摆放了15件首饰,从左边第一件开始到最中间,后一件比前一件价格高50元;从右边第一件开始到最中间,后一件比前一件高100元,已知这15件首饰的价格总和为25800元,则最中间那件最贵的首饰价格为多少元?
小张、小王和小李三人同时从甲地前往乙地,按计划小张开车载小王行驶1小时到达,小李步行7小时到达。经过t小时后,小王下车按小李的步行速度继续前行,小张驾车折返载上小李后再前往乙地,最终三人同时到达乙地,则t为:
某次考试共100题均为有四个候选选项的单项选择题,被考者需要把自己认为的正确选项涂在答题卡上。已知某人81—85题中只选对1题,那么他81—85题的涂卡方式共有多少种?
下列两组图形均由三个图形组成,三个图形之间存在一定变化规律。按其规律右边这组图形中,问号处应为:

风险控制是指风险管理者采取各种措施和方法,消灭或减少风险事件发生的各种可能性,或风险控制者减少风险事件发生时造成的损失。
根据上述定义,下列不属于风险控制的是:
活火山指现代尚在活动或周期性发生喷发活动的火山,这类火山正处于活动的旺盛期。死火山指史前曾发生过喷发,但在人类历史时期从来没有活动过与长期不喷发的火山,此类火山已丧失了活动能力,有的火山已遭受风化侵蚀,只剩下残缺不全的火山遗迹。休眠火山指有史以来曾经喷发过,但长期以来处于相对静止状态的火山,此类火山保存有完好的火山活动能力,或尚不能断定其已丧失火山活动能力。
根据上述定义,下列说法不正确的是:
社区负责人要从小李、小张、小王、小刘和小周这5位党员中选择2位参加志愿活动,已知:
(1)小李和小王至少要选1位
(2)小张和小刘至少要选1位
(3)除非小王和小刘都没被选上,否则小张没有被选上
根据以上条件,若小刘未被选上,则入选的有:
一项新的研究显示,那些假期里喜欢大量饮酒的人们此前曾试过多种方法快速醒酒,但效果均不理想,现某头痛研究基金会的研究人员终于找到了一种解除大量饮酒后头痛感的最佳办法,这就是喝点蜂蜜。蜂蜜成分中含有一种大多数水果中不含有的果糖,它可以促进酒精的分解吸收。研究人员还指出,喝点蜂蜜不仅会使头痛头晕感觉逐渐消失,而且可使人很快入睡,第二天早晨起床后也不会头痛。
以下选项如果为真,不能削弱研究人员结论的是:
很多年轻人都在吐槽天天掉头发,特别是那些经常在电脑前工作的年轻人,才20多岁,头发就掉得厉害。有人认为是熬夜、电脑辐射或者用脑过度的原因。也有反对者认为体内激素分泌异常才是导致脱发的原因。
以下哪项如果为真,最能质疑反对者的观点?
某学校举办校运会,有的报了篮球赛的学生报名参加了排球赛,凡是报名羽毛球比赛的均未报名4×100m接力短跑,所有报名篮球比赛的都是来自大二的体育生,所有的体育生都必须参加4×100m接力短跑。
由此不能推出以下哪项结论?
在发表于10日《自然·通讯》上的一项研究中,比利时鲁汶大学研究人员在分子水平上了解新冠病毒感染细胞的确切机制,并在实验中阻止了病毒感染。科学家们发现了表面带有多个9-O-乙酰化唾液酸的多价结构能够阻止新冠病毒的结合和感染。如果病毒不附着在细胞上,它就无法进入细胞,因此会死亡,寿命为1至5小时。这种阻断作用可防止感染。该发现为治疗新冠带来了巨大的希望:有助于开发一种气溶胶形式的抗病毒药物,在感染或高风险接触的情况下能根除病毒。
以下哪项如果为真,最能加强上述结论?
2021年,H市规模以上服务业10个行业门类营业收入继续保持两位数增长。规模以上交通运输、仓储和邮政业,信息传输、软件和信息技术服务业,租赁和商务服务业合计实现营业收入15040亿元,同比增长19.7%。其中规模以上租赁和商务服务业实现营业收入1789亿元,同比增长26.6%,高于规模以上服务业7.7个百分点。其中,商务服务业实现营业收入1685亿元,同比增长28.8%。
2021年,H市新增规模以上服务业企业729家,合计实现营业收入1206亿元,占规模以上服务业的7.0%。其中营业收入超10亿元企业11家,合计实现营业收入603亿元,同比增长91.8%。

2021年,H市新增规模以上服务业企业平均每家每月实现营业收入约为多少亿元?
2021年,H市规模以上服务业10个行业门类营业收入继续保持两位数增长。规模以上交通运输、仓储和邮政业,信息传输、软件和信息技术服务业,租赁和商务服务业合计实现营业收入15040亿元,同比增长19.7%。其中规模以上租赁和商务服务业实现营业收入1789亿元,同比增长26.6%,高于规模以上服务业7.7个百分点。其中,商务服务业实现营业收入1685亿元,同比增长28.8%。
2021年,H市新增规模以上服务业企业729家,合计实现营业收入1206亿元,占规模以上服务业的7.0%。其中营业收入超10亿元企业11家,合计实现营业收入603亿元,同比增长91.8%。

2020年,H市规模以上软件和信息技术服务业营业收入占规模以上服务业营业收入的比重比规模以上互联网和相关服务营业收入占规模以上信息传输、软件和信息技术服务业营业收入的比重约低多少个百分点?
2021年,H市规模以上服务业10个行业门类营业收入继续保持两位数增长。规模以上交通运输、仓储和邮政业,信息传输、软件和信息技术服务业,租赁和商务服务业合计实现营业收入15040亿元,同比增长19.7%。其中规模以上租赁和商务服务业实现营业收入1789亿元,同比增长26.6%,高于规模以上服务业7.7个百分点。其中,商务服务业实现营业收入1685亿元,同比增长28.8%。
2021年,H市新增规模以上服务业企业729家,合计实现营业收入1206亿元,占规模以上服务业的7.0%。其中营业收入超10亿元企业11家,合计实现营业收入603亿元,同比增长91.8%。

2021年,H市规模以上信息传输、软件和信息技术服务业营业收入对全市规模以上服务业营业收入增长贡献率约为:
2021年,H市规模以上服务业10个行业门类营业收入继续保持两位数增长。规模以上交通运输、仓储和邮政业,信息传输、软件和信息技术服务业,租赁和商务服务业合计实现营业收入15040亿元,同比增长19.7%。其中规模以上租赁和商务服务业实现营业收入1789亿元,同比增长26.6%,高于规模以上服务业7.7个百分点。其中,商务服务业实现营业收入1685亿元,同比增长28.8%。
2021年,H市新增规模以上服务业企业729家,合计实现营业收入1206亿元,占规模以上服务业的7.0%。其中营业收入超10亿元企业11家,合计实现营业收入603亿元,同比增长91.8%。

2021年,H市规模以上交通运输、仓储和邮政业营业收入占规模以上服务业营业收入的比重约为:
2021年,H市规模以上服务业10个行业门类营业收入继续保持两位数增长。规模以上交通运输、仓储和邮政业,信息传输、软件和信息技术服务业,租赁和商务服务业合计实现营业收入15040亿元,同比增长19.7%。其中规模以上租赁和商务服务业实现营业收入1789亿元,同比增长26.6%,高于规模以上服务业7.7个百分点。其中,商务服务业实现营业收入1685亿元,同比增长28.8%。
2021年,H市新增规模以上服务业企业729家,合计实现营业收入1206亿元,占规模以上服务业的7.0%。其中营业收入超10亿元企业11家,合计实现营业收入603亿元,同比增长91.8%。

下列能够从上述资料中推出的有几个?
①2020年H市规模以上服务业营业收入同比增速
②2021年H市规模以上交通运输、仓储和邮政业营业收入同比增量
③2020年H市新增规模以上服务业企业营业收入占规模以上服务业营业收入的比重

下列说法中,能够推出的是: