一幢高60m、按6度抗震设防、位于Ⅳ类场地的钢筋混凝土框架一剪力墙结构,在基本振型地震作用下,框架部分承受的地震倾覆力矩大于结构总地震倾覆力矩的50%。在进行结构的抗震设计时,正确的是( )。
某具有高层装配整体楼面的框架一剪力墙结构,抗震设防烈度8度,楼面横向宽度18m,在布置横向剪力墙时,下列间距符合规定的是( )。
一幢五层的商店建筑,其抗震设防烈度为8度(0.2g),场地类别为Ⅲ类,设计地震分组为第一组。该建筑采用钢结构,结构基本自振周期T1=0.4s,阻尼比ζ=0.035。由此,根据图7可算得该钢结构的地震影响系数α=( )。

某高层钢结构,按8度抗震设防。结构设中心支撑,支撑斜杆钢材采用Q345(fy=325N/mm2),构件横断面如图6-7所示。则满足腹板宽厚比要求的腹板厚度t最接近于( )mm。 提示:按《高层民用建筑钢结构技术规程》(JGJ99-98)设计。

对于底部大空间剪力墙结构的转换层楼面,下列符合规定的是( )。
在设防烈度为6度至9度地区内的乙类、丙类高层建筑,应进行抗震设计,其地震作用计算按下列哪种做法才符合《高层建筑混凝土结构技术规范》(JGJ3-2002、J186- 2002)的规定 ( )
在选择楼盖结构设计方案时,下列各项不可取的是( )。
一展览厅的圆弧形静定三铰拱,其跨度ι=25m,矢高f=4m(图),在C、D、E处均作用着两个集中荷载Pgk及Pqk,即一是由永久荷载标准值产生的拱顶集中荷载Pgk=100kN,另一是由拱面活荷载标准值产生的拱顶集中荷载Pqk=50kN,
由此算得该拱底部拉杆的轴向拉力设计值NA=( )kN。

某建造于大城市市区的28层公寓,采用钢筋混凝土剪力墙结构体系。平面为矩形,共6个开间,横向剪力墙间距为8.1m,其中间的剪力墙的计算简图如图所示。在风荷载(标准值)作用下,试采用近似分析方法(将两个墙肢视为一拉一压,且其合力作用在墙肢的中心线上),估算每根连梁的平均支座弯矩设计值Mb最接近于( )kN·m。

某13层钢框架结构,箱形方柱截面如图所示,抗震设防烈度为8度,回转半径ix=iy=173mm,钢材采用Q345(fy=325N/mm2)。则满足规程要求的最大层高h,应最接近于( )mm。
提示: ①按《高层民用建筑钢结构技术规程》(JGJ99-98)设计; ②柱子的计算长度取层高h。

有一幢高层框架一剪力墙结构,层数为22层,高度80m,抗震设防烈度8度,Ⅲ类场地,设计地震分组为一组,总重力荷载代表值为∑Gi=286000kN,基本自振周期T1=1.43s,则采用底部剪力法计算底部剪力标准值FEk=( )kN。
在设计屋面结构时,下列说法不正确的是( )。
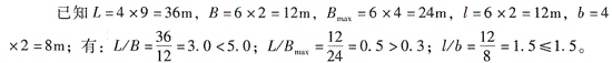
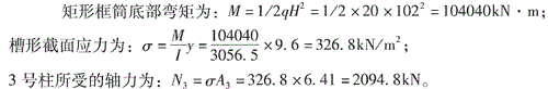
某矩形框筒,平面尺寸如图6-24所示,总高度102m,承受水平力q=20kN/m,可简化成双槽形截面,等效槽形截面如图4所示。角柱为L形、截面面积A3=6.41m2、形心坐标y=0.90m。槽形截面惯性矩为3056.5m4。计算图中底层3号柱所受的轴力N3最接近于( )kN。

在8度抗震区有一高21m的钢筋混凝土的框架结构裙房,与高120m的钢筋混凝土框架一剪力墙结构主楼之间,设防震缝一道。根据《高层建筑混凝土结构技术规范》(JGJ 3-2002、J186-2002),该防震缝的最小宽度δ应为( )mm。
下列四种高层建筑结构布置正确的是( )。
一幢20层的高层建筑,采用钢筋混凝土结构。该建筑的抗震设防烈度为8度(0.3g),场地类别为Ⅱ类,设计地震分组为第一组。该结构的第一自振周期T1=1.2s,阻尼比ζ=0.05,地震影响系数α最接近于( )。
位于设防烈度8度,Ⅲ类场地,高58m,丙类的钢筋混凝土框架一剪力墙结构房屋。在重力荷载代表值,水平风荷载及水平地震作用下第四层边柱的轴向力标准值分别为NG=4200kN,Nw=1200kN,nEb=500kN;柱截面为600mm×800mm,混凝土C40,fe=19.1N/ mm2。第四层层高3.60m,横梁高600mm。经计算知剪力墙部分承受的地震倾覆力矩大于结构总地震倾覆力矩的50%较多。则该柱轴压比验算结果正确的是( )。
对框架一核心筒结构进行结构布置时,下列概念不正确的是( )。
某8层钢结构,建于抗震设防烈度8度区,地震加速度0.20g,设计分组为第一组,场地类别为Ⅲ类,结构基本周期为1.0s。则与结构基本周期相应的地震影响系数,最接近于( )。
黑龙江省佳木斯西北方向某县的一多层建筑在设计时,《建筑结构荷载规范》(GB 50009-2001)(2006年版)附录D中没有给出该县的基本雪压,但当地气象部门给出年最大积雪深度为0.50m,由此设计单位可按《建筑结构荷载规范》(GB 50009-2001) (2006年版)附录D第D.1.2条规定确定雪压值s=( )kN/m2。
某3层内框架砖房,四角设有构造柱,建筑平面、剖面如图所示。设防烈度7度,内框架混凝土强度等级C20,柱截面400mm×400mm,梁截面250mm×650mm,现浇混凝土楼、屋盖。砖强度等级MU10,砂浆强度等级一层为M10,二层为M7.5,三层为M5。外墙厚370mm,墙外缘距轴线120mm。山墙未设门窗,基础顶面标高-0.5000。已知各质点重力荷载代表值为G3=5300kN,G2=7100kN,G1=7500kN,各层的水平地震剪力设计值V1、V2、V3最接近于( )。

一客车停车库的楼面结构平面如图(a)所示,该结构采用单向板及主次梁结构,次梁的间距为4m,主梁(框架梁)的间距沿纵向为9m,沿横向为8m。次梁将楼面永久荷载及楼面活荷载以集中荷载传递给主梁(图(b)),当按《建筑结构荷载规范》(GB 50009-2001)(2006年版)规定考虑楼面活荷载折减系数时,则可算得次梁传给主梁的活荷载集中荷载标准值Pqk=( )kN。

图6-31(a)所示为一个8层钢筋混凝土框架结构的平面图。该建筑抗震烈度为8度,属于二级抗震等级。下列结构动力分析方法中,正确的是( )。

关于柱轴压比限值的要求,下列各项不正确的是( )。
一幢高度为99m的剪力墙结构(图),其女儿墙高度h=2.0m,女儿墙中部到室外地面的高度H=100m。基本风压w0=0.5kN/m2,B类地面粗糙度。女儿墙底部由风荷载产生的弯矩标准值Mwk(kN·m/m)与下列 ( )项数值接近。

某高层建筑有抗震设防的底层大空间剪力墙结构,转换层以上楼层层高2.7m,横向剪力墙有效截面面积Aw2=19.2m2;框支层层高3.6m,横向落地剪力墙有效截面面积Aw1=11.4m2,框支层全部柱截面面积Ae=2.88m2,柱截面均为1200mm×1200mm,混凝土强度等级框支层为C40,上层C25。下列各项上下层刚度比正确的是( )。
一商店建筑中有一挑出长度为8m的长悬挑梁,梁上作用着永久荷载标准值的线荷载gk=30kN/m,楼面活荷载标准值的线荷载qk=20kN/m(图6-9)。该建筑的抗震设防烈度为8度(0.30g)。由此可算得梁端A处的最大弯矩设计值MA=( )kN·m。
提示:计算时应对有无竖向地震作用,以及比较永久荷载效应控制的组合与可变荷载效应控制的组合,然后确定最大弯矩设计值MA。

某现浇框架一核心筒高层建筑结构,地上35层高130m,内筒为钢筋混凝土,外周边为型钢混凝土框架,抗震设防烈度为7度,丙类,设计地震分组为第一组,设计基本地震加速度为0.1g,场地类别为Ⅱ类,阻尼比ζ=0.04,结构的基本自振周期T1=20s,周期折减系数取0.8。
计算多遇地震作用时,该结构的水平地震作用影响系数α最接近于( )。
某现浇框架一核心筒高层建筑结构,地上35层高130m,内筒为钢筋混凝土,外周边为型钢混凝土框架,抗震设防烈度为7度,丙类,设计地震分组为第一组,设计基本地震加速度为0.1g,场地类别为Ⅱ类,阻尼比ζ=0.04,结构的基本自振周期T1=20s,周期折减系数取0.8。
外周边框架底层某中柱,截面700mm×700mm,混凝土强度等级C50(fe=23.1N/mm2),内置Q345型钢(fa=295N/mm2),地震作用组合的柱轴向压力设计值N=19000kN,剪跨比λ=2.4。当要求柱轴压比μN≤0.8时,其采用的型钢截面面积应最接近于( )mm2。
某拟建的高度为59m的16层现浇钢筋混凝土框剪结构,质量和刚度沿高度分布比较均匀,对风荷载不敏感,其两种平面方案如图所示,单位m。假设在如图所示的作用方向两种结构方案的基本自振周期相同。

当估算主体结构的风荷载效应时,方案a与方案b的风荷载标准值(kN/m2)之比,最接近于( )。 提示:按《高层建筑混凝土结构技术规范》(JGJ3-2002、J186-2002)解题。
某拟建的高度为59m的16层现浇钢筋混凝土框剪结构,质量和刚度沿高度分布比较均匀,对风荷载不敏感,其两种平面方案如图所示,单位m。假设在如图所示的作用方向两种结构方案的基本自振周期相同。

当估算围护结构风荷载时,方案a和方案b相同高度迎风面中点处单位面积风荷载比值,最接近于( )。 提示:按《建筑结构荷载规范》(CB 50009-2001)解题。
某拟建的高度为59m的16层现浇钢筋混凝土框剪结构,质量和刚度沿高度分布比较均匀,对风荷载不敏感,其两种平面方案如图所示,单位m。假设在如图所示的作用方向两种结构方案的基本自振周期相同。

当该剪力墙加强部位允许设置构造边缘构件时,其在重力荷载代表值作用下的底截面最大轴压比限值μN,max与该墙的实际轴压比μN的比值(μNmax/μN。),最接近于( )。
某拟建的高度为59m的16层现浇钢筋混凝土框剪结构,质量和刚度沿高度分布比较均匀,对风荷载不敏感,其两种平面方案如图所示,单位m。假设在如图所示的作用方向两种结构方案的基本自振周期相同。

假定重力荷载代表值修改为N=8480.4kN,其他数据不变,则剪力墙约束边缘构件沿墙肢的长度ιe最接近于( )mm。
某框架一核心筒结构底层一连梁如图6-25所示,连梁截面bb=400mm,hb=1800mm,混凝土强度等级C35,(fe=16.7N/mm2),水平地震作用组合连梁剪力设计值V=840kN,当连梁中交叉暗撑与水平线夹角为α,sinα=0.66时,交叉暗撑采用HRB400钢。交叉暗撑计算所需纵向钢筋最接近于( )。


位于9度抗震设防区、设计基本地震加速度值为0.40g,设计地震分组为第一组,建筑场地属Ⅱ类的办公大楼,地上10层,高40m的钢筋混凝土框架结构。剖面和平面见图所示。该楼层顶为上人屋面。通过计算,已知每层楼面的永久荷载标准值共12500kN,每层楼面的活荷载标准值共2100kN;屋面的永久荷载标准值共13050kN,屋面的活荷载标准值共2100kN。经动力分析,考虑了填充墙的刚度后的结构基本自振周期T1为0.9s。该楼的结构布置、侧向刚度及质量等均对称、规则、均匀、属规则结构。

第8层的竖向地震作用标准值Fv8k最接近于( )kN。
位于9度抗震设防区、设计基本地震加速度值为0.40g,设计地震分组为第一组,建筑场地属Ⅱ类的办公大楼,地上10层,高40m的钢筋混凝土框架结构。剖面和平面见图所示。该楼层顶为上人屋面。通过计算,已知每层楼面的永久荷载标准值共12500kN,每层楼面的活荷载标准值共2100kN;屋面的永久荷载标准值共13050kN,屋面的活荷载标准值共2100kN。经动力分析,考虑了填充墙的刚度后的结构基本自振周期T1为0.9s。该楼的结构布置、侧向刚度及质量等均对称、规则、均匀、属规则结构。

若结构自振周期T1=0.68s,则T1相对应的地震影响系数α1与( )项数值最为接近。
位于9度抗震设防区、设计基本地震加速度值为0.40g,设计地震分组为第一组,建筑场地属Ⅱ类的办公大楼,地上10层,高40m的钢筋混凝土框架结构。剖面和平面见图所示。该楼层顶为上人屋面。通过计算,已知每层楼面的永久荷载标准值共12500kN,每层楼面的活荷载标准值共2100kN;屋面的永久荷载标准值共13050kN,屋面的活荷载标准值共2100kN。经动力分析,考虑了填充墙的刚度后的结构基本自振周期T1为0.9s。该楼的结构布置、侧向刚度及质量等均对称、规则、均匀、属规则结构。

假定水平地震影响系数α1=0.22;屋面恒荷载标准值为4300kN,等效活荷载标准值为480kN,雪荷载标准值为160kN;各层楼盖处恒荷载标准值为4100kN,等效活荷载标准值为550kN。试问,结构总水平地震作用标准值FEk(kN),与下列( )项数值最为接近。 提示:按《高层民用建筑钢结构技术规程》(JGJ99-98)底部剪力法计算。
位于9度抗震设防区、设计基本地震加速度值为0.40g,设计地震分组为第一组,建筑场地属Ⅱ类的办公大楼,地上10层,高40m的钢筋混凝土框架结构。剖面和平面见图所示。该楼层顶为上人屋面。通过计算,已知每层楼面的永久荷载标准值共12500kN,每层楼面的活荷载标准值共2100kN;屋面的永久荷载标准值共13050kN,屋面的活荷载标准值共2100kN。经动力分析,考虑了填充墙的刚度后的结构基本自振周期T1为0.9s。该楼的结构布置、侧向刚度及质量等均对称、规则、均匀、属规则结构。

假定屋盖和楼盖处重力荷载代表值均为G,与结构总水平地震作用等效的底部剪力标准值FEk=10000kN,基本自振周期T1=1.1s。试问,顶层总水平地震作用标准值 F11Ek(kN),与下列( )项数值最为接近。
位于9度抗震设防区、设计基本地震加速度值为0.40g,设计地震分组为第一组,建筑场地属Ⅱ类的办公大楼,地上10层,高40m的钢筋混凝土框架结构。剖面和平面见图所示。该楼层顶为上人屋面。通过计算,已知每层楼面的永久荷载标准值共12500kN,每层楼面的活荷载标准值共2100kN;屋面的永久荷载标准值共13050kN,屋面的活荷载标准值共2100kN。经动力分析,考虑了填充墙的刚度后的结构基本自振周期T1为0.9s。该楼的结构布置、侧向刚度及质量等均对称、规则、均匀、属规则结构。

假定框架钢材采用Q345,fv=345N/mm2,某梁柱节点构造如图所示。试问,柱在节点域满足《高层建筑混凝土结构技术规范》(JGJ3-2002、J 186-2002)要求的腹板最小厚度twe(mm),与下列( )项数值最为接近。 提示:按《高层民用建筑钢结构技术规程》(JGJ99-98)计算。

位于9度抗震设防区、设计基本地震加速度值为0.40g,设计地震分组为第一组,建筑场地属Ⅱ类的办公大楼,地上10层,高40m的钢筋混凝土框架结构。剖面和平面见图所示。该楼层顶为上人屋面。通过计算,已知每层楼面的永久荷载标准值共12500kN,每层楼面的活荷载标准值共2100kN;屋面的永久荷载标准值共13050kN,屋面的活荷载标准值共2100kN。经动力分析,考虑了填充墙的刚度后的结构基本自振周期T1为0.9s。该楼的结构布置、侧向刚度及质量等均对称、规则、均匀、属规则结构。

计算水柜空载时的地震影响系数α2,其与( )项数值最为接近。
位于9度抗震设防区、设计基本地震加速度值为0.40g,设计地震分组为第一组,建筑场地属Ⅱ类的办公大楼,地上10层,高40m的钢筋混凝土框架结构。剖面和平面见图所示。该楼层顶为上人屋面。通过计算,已知每层楼面的永久荷载标准值共12500kN,每层楼面的活荷载标准值共2100kN;屋面的永久荷载标准值共13050kN,屋面的活荷载标准值共2100kN。经动力分析,考虑了填充墙的刚度后的结构基本自振周期T1为0.9s。该楼的结构布置、侧向刚度及质量等均对称、规则、均匀、属规则结构。

按底部等效弯矩法求基底弯矩M0(kN·m),水柜满载及空载时M0与( )项数值最为接近。
某建造于大城市市区的28层公寓,采用钢筋混凝土剪力墙结构体系。平面为矩形,共6个开间,横向剪力墙间距为8.1m,层高2.8m,房屋宽15.7m,地面粗糙度D类。混凝土强度等级采用C30,纵向钢筋采用HRB335钢,箍筋采用HPB235钢。as=a's=35mm。
工程所在场地的地基土的构成如表所示。

若有抗震要求时,确定其建筑场地类别为( )类。
某建造于大城市市区的28层公寓,采用钢筋混凝土剪力墙结构体系。平面为矩形,共6个开间,横向剪力墙间距为8.1m,层高2.8m,房屋宽15.7m,地面粗糙度D类。混凝土强度等级采用C30,纵向钢筋采用HRB335钢,箍筋采用HPB235钢。as=a's=35mm。
当未考虑非结构构件影响折减系数时,该建筑物的横向自振周期T1最接近于( )s。
某建造于大城市市区的28层公寓,采用钢筋混凝土剪力墙结构体系。平面为矩形,共6个开间,横向剪力墙间距为8.1m,层高2.8m,房屋宽15.7m,地面粗糙度D类。混凝土强度等级采用C30,纵向钢筋采用HRB335钢,箍筋采用HPB235钢。as=a's=35mm。

某建造于大城市市区的28层公寓,采用钢筋混凝土剪力墙结构体系。平面为矩形,共6个开间,横向剪力墙间距为8.1m,层高2.8m,房屋宽15.7m,地面粗糙度D类。混凝土强度等级采用C30,纵向钢筋采用HRB335钢,箍筋采用HPB235钢。as=a's=35mm。
若底层层高为4.2m,则剪力墙的厚度不应小于( )mm。
某建造于大城市市区的28层公寓,采用钢筋混凝土剪力墙结构体系。平面为矩形,共6个开间,横向剪力墙间距为8.1m,层高2.8m,房屋宽15.7m,地面粗糙度D类。混凝土强度等级采用C30,纵向钢筋采用HRB335钢,箍筋采用HPB235钢。as=a's=35mm。
连梁的容许剪力设计值最接近于( )kN。
某建造于大城市市区的28层公寓,采用钢筋混凝土剪力墙结构体系。平面为矩形,共6个开间,横向剪力墙间距为8.1m,层高2.8m,房屋宽15.7m,地面粗糙度D类。混凝土强度等级采用C30,纵向钢筋采用HRB335钢,箍筋采用HPB235钢。as=a's=35mm。
连梁每侧的腰筋配置最接近于( )。
某大城市郊区某28层的高层建筑,如图所示。地面以上高度为90m,平面为一外径26m的圆形。基本风压数值为0.50kN/m2,风荷载体型系数为0.8。

当结构基本自振周期T1=1.6s时,风荷载脉动增大系数ξ最接近于( )。
某大城市郊区某28层的高层建筑,如图所示。地面以上高度为90m,平面为一外径26m的圆形。基本风压数值为0.50kN/m2,风荷载体型系数为0.8。

已知屋面处的风振系数β90=1.68,则屋面高度处的风荷载标准值wk,最接近于 ( )kN/m2。
某大城市郊区某28层的高层建筑,如图所示。地面以上高度为90m,平面为一外径26m的圆形。基本风压数值为0.50kN/m2,风荷载体型系数为0.8。

已知作用于90m高度屋面处的风荷载标准值wk=1.50kN/m2,作用于90m高度屋面处的突出屋面小塔楼风荷载标准值△P90=600kN。假定风荷载沿高度呈倒三角形分布,地面处为0,如图所示。则在高度z=30m处风荷载产生的倾覆力矩设计值最接近于( )kN·m。

某大城市郊区某28层的高层建筑,如图所示。地面以上高度为90m,平面为一外径26m的圆形。基本风压数值为0.50kN/m2,风荷载体型系数为0.8。

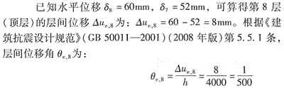
计算得顶层的弹性层间位移θe,8=( )。
某大城市郊区某28层的高层建筑,如图所示。地面以上高度为90m,平面为一外径26m的圆形。基本风压数值为0.50kN/m2,风荷载体型系数为0.8。

已算得多遇地震作用下的第8层弹性层间位移,现已知第8层的楼层屈服强度系数ξy=0.4(楼层屈服强度系数为按构件实际配筋和材料强度标准值计算的楼层受剪承载力和按罕遇地震作用标准值计算的弹性地震剪力的比值)。由此可算得该框架结构在第8层的弹塑性层间位移角θP,8=( )。
在一展览馆的楼面上,有一静止的展品及其墩座,其自重的标准值共为30kN;墩座经厚50mm的垫层坐落在板跨为3m(单向板)、板厚为150mm的钢筋混凝土楼板上。该展品的四周无其他展品的展览区(图)。

单向板上,由墩座和展品这一局部荷载在板中产生的最大弯矩Mmax最接近于( ) kN·m。
在一展览馆的楼面上,有一静止的展品及其墩座,其自重的标准值共为30kN;墩座经厚50mm的垫层坐落在板跨为3m(单向板)、板厚为150mm的钢筋混凝土楼板上。该展品的四周无其他展品的展览区(图)。

单向板上局部荷载的有效分布宽度b最接近于( )m。
在一展览馆的楼面上,有一静止的展品及其墩座,其自重的标准值共为30kN;墩座经厚50mm的垫层坐落在板跨为3m(单向板)、板厚为150mm的钢筋混凝土楼板上。该展品的四周无其他展品的展览区(图)。

单向板上在(b×ι)面积上的等效均布荷载q最接近于( )kN/m2。
在一展览馆的楼面上,有一静止的展品及其墩座,其自重的标准值共为30kN;墩座经厚50mm的垫层坐落在板跨为3m(单向板)、板厚为150mm的钢筋混凝土楼板上。该展品的四周无其他展品的展览区(图)。

计算梁跨中截面正截面所需纵筋As,最接近于( )mm2。
在一展览馆的楼面上,有一静止的展品及其墩座,其自重的标准值共为30kN;墩座经厚50mm的垫层坐落在板跨为3m(单向板)、板厚为150mm的钢筋混凝土楼板上。该展品的四周无其他展品的展览区(图)。

假定建筑物各层的重力荷载代表值如图所示,且结构基本自振周期T1=1.0s。若采用底部剪力法进行地震作用计算时,结构总水平地震作用设计值FE最接近于( )kN。

在一展览馆的楼面上,有一静止的展品及其墩座,其自重的标准值共为30kN;墩座经厚50mm的垫层坐落在板跨为3m(单向板)、板厚为150mm的钢筋混凝土楼板上。该展品的四周无其他展品的展览区(图)。

假定结构的基本自振周期T1=0.65s,结构阻尼比ζ=0.05。结构总水平地震作用标准值FEk最接近于( )kN。
在一展览馆的楼面上,有一静止的展品及其墩座,其自重的标准值共为30kN;墩座经厚50mm的垫层坐落在板跨为3m(单向板)、板厚为150mm的钢筋混凝土楼板上。该展品的四周无其他展品的展览区(图)。

假定作用于100m高度处的风荷载标准值w5=2.1kN/m2,又已知突出屋面小塔楼风剪力标准值△Pn=500kN及风弯矩标准值△Mn=2000kN·m,作用于100m高度的屋面处。设风压沿高度的变化为倒三角形(地面处为0)。在地面(z=0)处,风荷载产生倾覆力矩的设计值最接近于( )kN·m。
在一展览馆的楼面上,有一静止的展品及其墩座,其自重的标准值共为30kN;墩座经厚50mm的垫层坐落在板跨为3m(单向板)、板厚为150mm的钢筋混凝土楼板上。该展品的四周无其他展品的展览区(图)。

节点的剪力设计值Vj最接近于( )kN。
在一展览馆的楼面上,有一静止的展品及其墩座,其自重的标准值共为30kN;墩座经厚50mm的垫层坐落在板跨为3m(单向板)、板厚为150mm的钢筋混凝土楼板上。该展品的四周无其他展品的展览区(图)。

节点的容许剪力设计值[Vj]最接近于( )kN。
在一展览馆的楼面上,有一静止的展品及其墩座,其自重的标准值共为30kN;墩座经厚50mm的垫层坐落在板跨为3m(单向板)、板厚为150mm的钢筋混凝土楼板上。该展品的四周无其他展品的展览区(图)。

结构基本自振周期T1=1.9s,高度80m处的风振系数最接近于( )。 提示:结构振型系数采用振型计算点距地面高度z与房屋高度H的比值。
在一展览馆的楼面上,有一静止的展品及其墩座,其自重的标准值共为30kN;墩座经厚50mm的垫层坐落在板跨为3m(单向板)、板厚为150mm的钢筋混凝土楼板上。该展品的四周无其他展品的展览区(图)。

确定高度100m处围护结构的风荷载标准值最接近于( )kN/m2。
在一展览馆的楼面上,有一静止的展品及其墩座,其自重的标准值共为30kN;墩座经厚50mm的垫层坐落在板跨为3m(单向板)、板厚为150mm的钢筋混凝土楼板上。该展品的四周无其他展品的展览区(图)。

若二层中柱截面600mm×600mm混凝土C30在重力荷载代表值作用下NG=2200kN,在水平地震作用下该柱的附加轴向力标准值为NEk=±150kN,柱混凝土保护层厚度为30mm,箍筋采用HPB235钢筋四肢,其加密区内的箍筋体积配箍率ρv不宜小于( )。
在一展览馆的楼面上,有一静止的展品及其墩座,其自重的标准值共为30kN;墩座经厚50mm的垫层坐落在板跨为3m(单向板)、板厚为150mm的钢筋混凝土楼板上。该展品的四周无其他展品的展览区(图)。

若该建筑物位于一高度为45m的山坡顶部,如图6-15所示,建筑屋面D处的风压高度变化系数μz最接近于( )。

在一展览馆的楼面上,有一静止的展品及其墩座,其自重的标准值共为30kN;墩座经厚50mm的垫层坐落在板跨为3m(单向板)、板厚为150mm的钢筋混凝土楼板上。该展品的四周无其他展品的展览区(图)。

若该框架为钢结构,结构的基本自振周期T1=1.2s,结构阻尼比ζ=0.035,其他数据不变,结构总水平地震作用标准值FEk最接近于( )kN。
在一展览馆的楼面上,有一静止的展品及其墩座,其自重的标准值共为30kN;墩座经厚50mm的垫层坐落在板跨为3m(单向板)、板厚为150mm的钢筋混凝土楼板上。该展品的四周无其他展品的展览区(图)。

若该框架为钢筋混凝土结构,结构的基本自振周期T1=0.85s,总水平地震作用标准值FEk=3304kN,作用于顶部附加水平地震作用标准值△F6最接近于( )kN。
在一展览馆的楼面上,有一静止的展品及其墩座,其自重的标准值共为30kN;墩座经厚50mm的垫层坐落在板跨为3m(单向板)、板厚为150mm的钢筋混凝土楼板上。该展品的四周无其他展品的展览区(图)。

若梁左端梁底已配置2Φ25的钢筋,计算梁顶钢筋As,最接近于( )mm2。
在一展览馆的楼面上,有一静止的展品及其墩座,其自重的标准值共为30kN;墩座经厚50mm的垫层坐落在板跨为3m(单向板)、板厚为150mm的钢筋混凝土楼板上。该展品的四周无其他展品的展览区(图)。

若已知结构总水平地震作用标准值FEk=3126kN,顶部附加水平地震作用△F6=256kN,作用于G5处的地震作用标准值F5最接近于( )kN。
在一展览馆的楼面上,有一静止的展品及其墩座,其自重的标准值共为30kN;墩座经厚50mm的垫层坐落在板跨为3m(单向板)、板厚为150mm的钢筋混凝土楼板上。该展品的四周无其他展品的展览区(图)。

未考虑非结构构件刚度影响时的框架基本自振周期T1最接近于( )s。
在一展览馆的楼面上,有一静止的展品及其墩座,其自重的标准值共为30kN;墩座经厚50mm的垫层坐落在板跨为3m(单向板)、板厚为150mm的钢筋混凝土楼板上。该展品的四周无其他展品的展览区(图)。

在重力荷载代表值作用下,已知三层横梁的支座弯矩如图6-16所示。当考虑梁端塑性变形内力重分布而对梁端负弯矩进行调幅,并取调幅系数为0.8时,则边横梁的跨中弯矩设计值M最接近于( )kN·m。
一单层平面框架(图),由屋顶永久荷载标准值产生的D点柱顶弯矩标准值MDgk=50kN·m。

采用《建筑结构荷载规范》(GB 50009-2001)(2006年版)第3.2.4条的简化规则,计算在四种工况下柱脚A处的最大弯矩设计值MA应为( )kN·m。
一单层平面框架(图),由屋顶永久荷载标准值产生的D点柱顶弯矩标准值MDgk=50kN·m。

还需考虑风荷载作用下产生的柱脚弯矩。由桁架上永久荷载和三种可变荷载确定的柱脚最大弯矩设计值MA应为( )kN·m。计算时对效应的组合不采用《建筑结构荷载规范》(GB 50009-2001)(2006年版)第3.2.4条的简化规则。
一单层平面框架(图),由屋顶永久荷载标准值产生的D点柱顶弯矩标准值MDgk=50kN·m。

现尚需计及如图所示由风荷载产生的D点弯矩标准值MDwk=25kN·m,由此算得D点组合后的弯矩设计值MD最接近于( )kN·m。(不采用简化规则)

一单层平面框架(图),由屋顶永久荷载标准值产生的D点柱顶弯矩标准值MDgk=50kN·m。

由桁架上永久荷载、活荷载和吊车荷载产生的柱脚最大弯矩设计值MA应为( )kN·m。计算时对效应的组合不采用《建筑结构荷载规范》(GB 50009-2001)(2006年版)第3.2.4条的简化规则。
一单层平面框架(图),由屋顶永久荷载标准值产生的D点柱顶弯矩标准值MDgk=50kN·m。

由屋顶均布活荷载标准值产生的弯矩标准值MDgk=30kN·m,则D点的弯矩设计值MD,最接近于( )kN·m。
某单层工业厂房,厂房柱距12m,采用工字形截面的实腹式钢吊车梁。设置有两台Q=25/10t的软钩桥式吊车,吊车每侧有两个车轮,轮距4m,最大轮压标准值Pk,max=279.7kN,横行小车质量标准值Q1=73.5kN,吊车轨道高度hR=130mm
当吊车为中级工作制时,作用在每个车轮处的横向水平荷载标准值最接近于( )kN。
某单层工业厂房,厂房柱距12m,采用工字形截面的实腹式钢吊车梁。设置有两台Q=25/10t的软钩桥式吊车,吊车每侧有两个车轮,轮距4m,最大轮压标准值Pk,max=279.7kN,横行小车质量标准值Q1=73.5kN,吊车轨道高度hR=130mm
假定吊车为重级工作制时,作用在每个车轮处的横向水平荷载标准值最接近于( )kN。
如图所示,在Ⅲ类场地上建一座高为100m的钢筋混凝土烟囱。设防烈度为7度,远震,Tg=0.55s,烟囱自重的标准值Gk=18738.8kN,筒身的重心C距基石出顶面H0=37.7m。

房屋顶部侧移最接近于( )mm。
如图所示,在Ⅲ类场地上建一座高为100m的钢筋混凝土烟囱。设防烈度为7度,远震,Tg=0.55s,烟囱自重的标准值Gk=18738.8kN,筒身的重心C距基石出顶面H0=37.7m。

假定该烟囱的基本周期为2.5s,试确定与之相应的水平地震影响系数与( )项数值最为接近。
如图所示,在Ⅲ类场地上建一座高为100m的钢筋混凝土烟囱。设防烈度为7度,远震,Tg=0.55s,烟囱自重的标准值Gk=18738.8kN,筒身的重心C距基石出顶面H0=37.7m。

假定该烟囱基本自振周期T1=2.40s,α1=0.02124。其底部由水平地震作用标准值产生的地震剪力V0最接近于( )kN。
如图所示,在Ⅲ类场地上建一座高为100m的钢筋混凝土烟囱。设防烈度为7度,远震,Tg=0.55s,烟囱自重的标准值Gk=18738.8kN,筒身的重心C距基石出顶面H0=37.7m。

试问烟囱的第一周期T1最接近于( )s。

位于9度抗震设防区、设计基本地震加速度值为0.40g,设计地震分组为第一组,建筑场地属Ⅱ类的办公大楼,地上10层,高40m的钢筋混凝土框架结构。剖面和平面见图6-33所示。该楼层顶为上人屋面。通过计算,已知每层楼面的永久荷载标准值共12500kN,每层楼面的活荷载标准值共2100kN;屋面的永久荷载标准值共13050kN,屋面的活荷载标准值共2100kN。经动力分析,考虑了填充墙的刚度后的结构基本自振周期T1为0.9s。该楼的结构布置、侧向刚度及质量等均对称、规则、均匀、属规则结构。

结构的总竖向地震作用标准值FEvk最接近于( )kN。