含有儿茶酚胺结构的肾上腺素,在体内发生COMT失活代谢反应是
新药Ⅳ期临床试验的目的是( )
关于药物理化性质的说法错误的是( )
含有喹啉酮母核结构的药物是( )
临床上药物可以配伍使用或联合使用,若使用不当,可能出现配伍禁忌,下列药物配伍或联合使用中,不合理的是( )
关于缓释和控释制剂特点说法错误的是( )
随胆汁排出的药物或代谢物,在肠道转运期间重吸收而返回门静脉的现象是( )
非无菌药物被某些微生物污染后可能导致其活性降低,所以多数非无菌制剂需进行微生物限度检查,常用于药品微生物限度检查的方法是( )
甘药物采用高效液相色谱法检测,药物响应后信号强度随时间变化的色谱图及参数如下,其中可用于该药物含量测定的参数是( )

在苯二氮
结构的1,2位开合三氮唑结构,其脂溶性增加,易通过血脑屏障,产生较强的镇静催眠作用的药物是( )
关于维拉帕米(
)结构特征和作用的说法,错误的是( )
下列关于依那普利的说法正确的是( )

人体胃液pH约0.9~1.5,下面最易吸收的药物是( )
关于非无菌液体制剂特点的说法,错误的是( )
关于缓释和控释制剂特点说法错误,
属于对因治疗的药物作用是( )
呋塞米氯噻嗪环戊噻嗪与氢氯噻嗪的效价强度与效能比较见下图,对这四种利尿药的效能和效价强度分析,错误的是

呋塞米氯噻嗪环戊噻嗪与氢氯噻嗪的效价强度与效能比较见下图,对这四种利尿药的效能和效价强度分析,错误的是( )

口服卡马西平的癫痫病患者同时口服避孕药可能会造成避孕失败,其原因是( )
关于药物量效关系的说法,错误的是( )
依据新分类方法,药品不良反应按不同反应的英文名称首字母分为A~H和U九类。其中A类不良反应是指
依据新分类方法,药品不良反应按不同反应的英文名称首字母分为A~H和U九类。其中A类不良反应是指( )
患者肝中维生素K环氧化物还原酶发生变异,与香豆素类药物的亲和力降低,需要5~20倍的常规剂量的香豆素类药物才能起到抗凝作用,这种个体差异属于( )
结核病人可根据其对异烟肼乙酰化代谢速度的快慢分类异烟肼慢代谢者和快代谢者、异烟肼慢代谢者服用相同剂量异烟肼,其血药浓度比快代谢者高,药物蓄积而导致体内维生素B
缺乏,而异烟肼快代谢者则易发生药物性肝炎甚至肝坏死。白种人多为异烟肼慢代谢者,而黄种人多为异烟肼快代谢者。据此,对不同种族服用异烟肼吓死现出不同不良反应的分析,正确的是( )
关于线性药物动力学的说法,错误的是( )
关于线性药物动力学的说法,错误的是
中国药典对药品质量标准中含量(效价)限度的说法,错误的是( )
临床治疗药物检测的前提是体内药物浓度的准确测定,在体内药物浓度测定中,如果抗凝剂、防腐剂可能与被测的药物发生作用,并对药物浓度的测定产生干扰,测检测样品宜选择( )
根据磺酰脲类降糖药的构效关系,当脲上取代基为甲基环己基时,甲基阻碍环己烷上的羟基化反应,因此具有高效、长效的降血糖作用。下列降糖药中,具有上述结构特征的是( )
营养不良时,患者血浆蛋白含量减少,使用蛋白结合律高的药物,可出现( )
肝功能不全时,使用经肝脏代谢或活性的药物(如可的松),可出现( )
普鲁卡因(
)在水溶液中易发生降解,降解的过程,首先会在酯键处断开在水溶液中已发生降解,降解的过程,首先会在酯键处断开,分解成对氨基苯甲酸与二乙氨基乙醇;对氨基苯甲酸还可继续发生变化,生成有色物质,同时在一定条件下又能发生脱羧反应,生成有毒的苯胺。盐酸普鲁卡因溶液发黄的原因是( )
普鲁卡因(
)在水溶液中易发生降解,降解的过程,首先会在酯键处断开在水溶液中已发生降解,降解的过程,首先会在酯键处断开,分解成对氨基苯甲酸与二乙氨基乙醇;对氨基苯甲酸还可继续发生变化,生成有色物质,同时在一定条件下又能发生脱羧反应,生成有毒的苯胺。盐酸普鲁卡因在溶液中发生的第一步降解反应是( )
在体外无效,体内经还原代谢产生甲硫基化合物而显示生物活性的非甾体抗炎药物的是( )
借助载体或酶促系统,消耗机体能量,从膜的低浓度一侧向高浓度一侧转运的药物转运方式是( )
扩散速度取决于膜两侧药物的浓度梯度、药物的脂水分配系数及药物在膜内扩散速度的药物转动方式是( )
借助载体,由膜的高浓度一侧向低浓度一侧转运,不消耗能量的药物转运方式是( )
肾小管中,弱碱在酸性尿液中( )
肾小管中,弱酸在碱性尿液中( )
肾小管中,弱酸在酸性尿液中( )
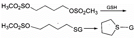
含有甲磺酸酯结构的抗肿瘤药物白消安,在体内的相代谢反应是( )
耐药性是( )
耐受性是( )
戒断综合征是( )
若出现的絮凝现象经振摇后能恢复原状,其原因是( )
若出现的分层现象经振摇后能恢复原状,其原因是( )
拮抗药的特点是( )
部分激动药的特点是( )
完全激动药的特点是( )
给某患者静脉注射一单室模型药物,剂量为100.0mg,测得不同时刻血药浓度数据如下表。外推出浓度为11.88μg/ml。

该药物的表现分布容积(单位L)是( )
给某患者静脉注射一单室模型药物,剂量为100.0mg,测得不同时刻血药浓度数据如下表。外推出浓度为11.88μg/ml。

该药物的消除速率常数是(单位h
)是( )
给某患者静脉注射一单室模型药物,剂量为100.0mg,测得不同时刻血药浓度数据如下表。外推出浓度为11.88μg/ml。

该药物的半衰期(单位h)是( )
患者,男,因哮喘就诊。医生开具丙酸氟替卡松入气雾剂控制哮喘症状,建议使用2周,换着凝虑用激素药物会产生全身性糖皮质激素副作用,就此咨询药师。
丙酸氟替卡松的滑雪结构如下

下列关于丙酸氟替卡松吸入气雾剂的使用方法和注意事项,错误的是
患者,男,因哮喘就诊。医生开具丙酸氟替卡松入气雾剂控制哮喘症状,建议使用2周,换着凝虑用激素药物会产生全身性糖皮质激素副作用,就此咨询药师。
丙酸氟替卡松的滑雪结构如下

依据丙酸氟替卡松的结构和制剂的特点,对患者咨询问题的科学解释是
患者,男,因哮喘就诊。医生开具丙酸氟替卡松入气雾剂控制哮喘症状,建议使用2周,换着凝虑用激素药物会产生全身性糖皮质激素副作用,就此咨询药师。
丙酸氟替卡松的滑雪结构如下
丙酸氟替卡松作用的受体属于
盐酸多柔比星,有称阿霉素,是广谱抗肿瘤药物,气化学结构如下
PEG-DSPE是一种PEG化脂质材料,常用语对脂质体进行PEG话,降低与单核巨噬细胞的亲和力。盐酸多柔比星脂质体以PEG-DSPE为脂质体属于( )
盐酸多柔比星,有称阿霉素,是广谱抗肿瘤药物,气化学结构如下
盐酸多柔比星毒性作用主要是骨髓抑制和心脏毒性,产生这一副作用的原因可能是( )
盐酸多柔比星,有称阿霉素,是广谱抗肿瘤药物,气化学结构如下
盐酸多柔比星产生抗肿瘤活性的作用机制是( )
患者,男,因哮喘就诊。医生开具丙酸氟替卡松入气雾剂控制哮喘症状,建议使用2周,患者疑虑用激素药物会产生全身性糖皮质激素副作用,就此咨询药师。丙酸氟替卡松作用的受体属于( )
患者,男,因哮喘就诊。医生开具丙酸氟替卡松入气雾剂控制哮喘症状,建议使用2周,患者疑虑用激素药物会产生全身性糖皮质激素副作用,就此咨询药师。下列关于丙酸氟替卡松吸入气雾剂的使用方法和注意事项,错误的是( )
患者,男,因哮喘就诊。医生开具丙酸氟替卡松入气雾剂控制哮喘症状,建议使用2周,患者疑虑用激素药物会产生全身性糖皮质激素副作用,就此咨询药师。依据丙酸氟替卡松的结构和制剂的特点,对患者咨询问题的科学解释是( )
根据生理效应,肾上腺素受体分为α受体和β受体,α受体分为α
,α
等亚型,β受体分为β
,β
等亚型,α
受体的功能主要为收缩血管平滑肌,增强心肌收缩力;α
受体的功能主要为抑制心血管活动,抑制去甲肾上腺素、乙酰胆碱和胰岛素的释放,同时也具有收缩血管平滑肌作用体的功能,主要为增强心肌收缩力、加快心率等;β
受体的功能主要为松弛平滑肌。胰岛细胞上的β受体属于β
亚型,根据肾上腺素受体的功能分析,对于合并糖尿病的室上性心动过速患者,宜选用的抗心律失常药物类型是( )
根据生理效应,肾上腺素受体分为α受体和β受体,α受体分为α
,α
等亚型,β受体分为β
,β
等亚型,α
受体的功能主要为收缩血管平滑肌,增强心肌收缩力;α
受体的功能主要为抑制心血管活动,抑制去甲肾上腺素、乙酰胆碱和胰岛素的释放,同时也具有收缩血管平滑肌作用体的功能,主要为增强心肌收缩力、加快心率等;β
受体的功能主要为松弛平滑肌。普萘洛尔是β受体阴断药的代表,属于芬氧丙醇胺类结构类型。普萘洛尔的结构是( )
根据生理效应,肾上腺素受体分为α受体和β受体,α受体分为α
,α
等亚型,β受体分为β
,β
等亚型,α
受体的功能主要为收缩血管平滑肌,增强心肌收缩力;α
受体的功能主要为抑制心血管活动,抑制去甲肾上腺素、乙酰胆碱和胰岛素的释放,同时也具有收缩血管平滑肌作用体的功能,主要为增强心肌收缩力、加快心率等;β
受体的功能主要为松弛平滑肌。人体中,心房以β
受体为主,但同时含有四分之一的β
受体,肺组织β
和β
之比为3:7,根据β受体分布并结合受体作用情况,下列说法正确的是( )
临床常用的血药浓度测定方法( )
药品标准正文内容,除收载有名称、结构式、分子式、分子量与性状外,还载有( )
属于手性化合物的是( )
属于受体信号转导第二信使的有( )
在体内可发生去甲基化代谢,其代谢产物仍具有活性抗抑郁的药( )