当前位置:首页建筑工程注册土木工程师(水利水电)

注册土木工程师(水利水电)

全部 基础知识 专业基础知识 专业知识 专业案例
全部试题 单选题 多选题

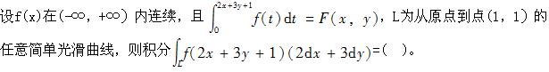
基础知识,真题专项训练,工程科学基础

时间:2022-01-15

人气:0

查看答案

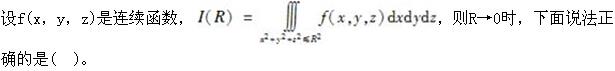
基础知识,真题专项训练,工程科学基础

时间:2022-01-15

人气:0

查看答案

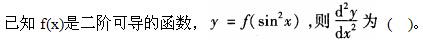
基础知识,真题专项训练,工程科学基础

时间:2021-12-19

人气:0

查看答案

基础知识,真题专项训练,工程科学基础

时间:2022-01-08

人气:0

查看答案

基础知识,真题专项训练,工程科学基础

时间:2021-12-25

人气:0

查看答案

基础知识,真题专项训练,工程科学基础

时间:2022-01-01

人气:0

查看答案

基础知识,真题专项训练,工程科学基础

时间:2022-01-15

人气:0

查看答案

基础知识,真题专项训练,工程科学基础

时间:2021-12-28

人气:0

查看答案

基础知识,真题专项训练,工程科学基础

时间:2022-01-03

人气:0

查看答案

基础知识,真题专项训练,工程科学基础

时间:2022-01-08

人气:0

查看答案