当前位置:首页建筑工程注册土木工程师(水利水电)

注册土木工程师(水利水电)

全部 基础知识 专业基础知识 专业知识 专业案例
全部试题 单选题 多选题

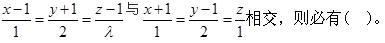
基础知识,真题专项训练,工程科学基础

时间:2022-01-02

人气:0

查看答案

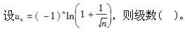
基础知识,真题专项训练,工程科学基础

时间:2022-01-10

人气:0

查看答案

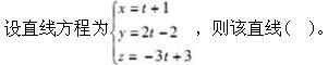
基础知识,真题专项训练,工程科学基础

时间:2022-01-03

人气:0

查看答案

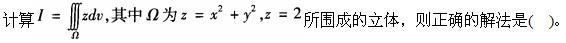
基础知识,真题专项训练,工程科学基础

时间:2022-01-12

人气:0

查看答案

基础知识,真题专项训练,工程科学基础

时间:2021-12-21

人气:0

查看答案

基础知识,真题专项训练,工程科学基础

时间:2021-12-24

人气:0

查看答案

基础知识,真题专项训练,工程科学基础

时间:2021-12-27

人气:0

查看答案

基础知识,真题专项训练,工程科学基础

时间:2022-01-09

人气:0

查看答案

基础知识,真题专项训练,工程科学基础

时间:2021-12-22

人气:0

查看答案

基础知识,真题专项训练,工程科学基础

时间:2021-12-26

人气:0

查看答案