当前位置:首页公务员军队文职人员招聘

军队文职人员招聘

全部 军队文职公共科目 军队文职法学 军队文职政治学 军队文职管理学 军队文职管理学与服务 军队文职教育学 军队文职体育学 军队文职会计学 军队文职经济学 军队文职审计学 军队文职数学1 军队文职数学2 军队文职数学3 军队文职物理 军队文职化学 军队文职历史学 军队文职农学 军队文职档案专业 军队文职戏剧与影视 军队文职图书专业 军队文职音乐 军队文职舞蹈 军队文职新闻专业 军队文职出版专业 军队文职美术 军队文职艺术设计 军队文职英语言文学 军队文职汉语言文学 军队文职哲学 军队文职医学类基础综合 军队文职护理学 军队文职药学 军队文职中药学 军队文职医学影像技术 军队文职临床医学 军队文职中医学 军队文职医学检验 军队文职公务员 军队文职司机岗 军队文职收发通信 军队文职面试
全部试题 单选题 多选题 填空题 判断题 问答题

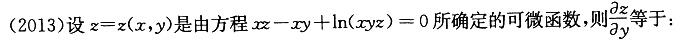
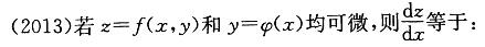
军队文职数学2,章节练习,军队文职人员招聘《数学2》必做

军队文职数学2,章节练习,军队文职人员招聘《数学2》必做

时间:2022-10-01

人气:1

查看答案

军队文职数学2,章节练习,军队文职人员招聘《数学2》必做

军队文职数学2,章节练习,军队文职人员招聘《数学2》必做

时间:2022-09-27

人气:1

查看答案

军队文职数学2,章节练习,军队文职人员招聘《数学2》必做

军队文职数学2,章节练习,军队文职人员招聘《数学2》必做

时间:2022-10-05

人气:1

查看答案

军队文职数学2,章节练习,军队文职人员招聘《数学2》必做

军队文职数学2,章节练习,军队文职人员招聘《数学2》必做

时间:2022-10-10

人气:1

查看答案

军队文职数学2,章节练习,军队文职人员招聘《数学2》必做

军队文职数学2,章节练习,军队文职人员招聘《数学2》必做

时间:2022-09-23

人气:1

查看答案

军队文职数学2,章节练习,军队文职人员招聘《数学2》必做

军队文职数学2,章节练习,军队文职人员招聘《数学2》必做

时间:2022-10-01

人气:1

查看答案

军队文职数学2,章节练习,军队文职人员招聘《数学2》必做

军队文职数学2,章节练习,军队文职人员招聘《数学2》必做

时间:2022-10-02

人气:1

查看答案

军队文职数学2,章节练习,军队文职人员招聘《数学2》必做

时间:2022-10-11

人气:1

查看答案

军队文职数学2,章节练习,军队文职人员招聘《数学2》必做

军队文职数学2,章节练习,军队文职人员招聘《数学2》必做

时间:2022-10-06

人气:1

查看答案

军队文职数学2,章节练习,军队文职人员招聘《数学2》必做

军队文职数学2,章节练习,军队文职人员招聘《数学2》必做

时间:2022-10-06

人气:1

查看答案