当前位置:首页建筑工程注册环保工程师注册环保工程师公共基础

注册环保工程师公共基础

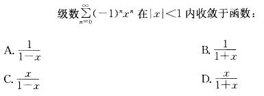
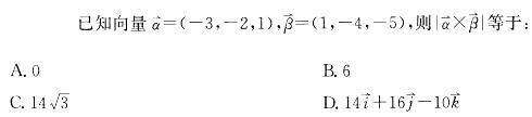
全部试题 单选题

注册环保工程师公共基础,章节练习,基础复习,公共基础巩固

时间:2022-05-31

人气:0

查看答案

注册环保工程师公共基础,章节练习,基础复习,公共基础巩固

时间:2022-06-14

人气:0

查看答案

注册环保工程师公共基础,章节练习,基础复习,公共基础巩固

时间:2022-06-14

人气:0

查看答案

注册环保工程师公共基础,章节练习,基础复习,公共基础巩固

时间:2022-06-05

人气:0

查看答案

注册环保工程师公共基础,章节练习,基础复习,公共基础巩固

时间:2022-06-08

人气:0

查看答案

注册环保工程师公共基础,章节练习,基础复习,公共基础巩固

时间:2022-06-01

人气:0

查看答案

注册环保工程师公共基础,章节练习,基础复习,公共基础巩固

时间:2022-05-24

人气:0

查看答案

注册环保工程师公共基础,章节练习,基础复习,公共基础巩固

时间:2022-06-22

人气:0

查看答案

注册环保工程师公共基础,章节练习,基础复习,公共基础巩固注册环保工程师公共基础,章节练习,基础复习,公共基础巩固

时间:2022-05-25

人气:0

查看答案

注册环保工程师公共基础,章节练习,基础复习,公共基础巩固

时间:2022-06-08

人气:0

查看答案