当前位置:首页 → 建筑工程 → 注册环保工程师 → 注册环保工程师公共基础->电路如图所示,已知:R1=6Ω,R2=R3=3Ω,R4=2Ω
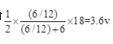
电路如图所示,已知:R1=6Ω,R2=R3=3Ω,R4=2Ω,R5=8Ω,R6=10Ω,Us=18V,Is=3A,则A、B两点间的电压UAB是( )V。

根据叠加原理,当电压源单独作用时,将电流源断路,纯电阻网络中利用分压原理可得到AB两点的电压为

当电流源单独作用时,将电压源短路,电压源相当于短路,此时AB两点电压为27V;所以UAB=3.6+27=30.6V。
矩阵
对应特征值λ=-1的全部特征向量为( )。

设f(x,y)=ytanx+xexy,则
=( )。

质量为m的质点A以匀速v沿圆周运动,如图10所示。质点由A1开始运动一周后又返回到A1这一过程质点所受合力的冲量( )。

下列说法正确的是( )。
如图22所示电路中,当负载RL获得最大功率时,RL=( )。

关于原电池的下列叙述中错误的是( )。
下列原子半径大小顺序中正确的是( )。
某平面任意力系向A点简化的主矢为零,而向另一点B简化的主矩为零。判断下述说法是否正确( )。
如图13所示受拉螺杆的许用挤压应力为[σc],则该杆能承受的最大载荷[F]为( )。


如图6所示,力或力偶对点A的矩都相等,它们引起的支座约束力是否相等
