当前位置:首页 → 建筑工程 → 注册环保工程师 → 注册环保工程师公共基础->若把牛顿环装置(都是用折射率为1.52的玻璃制成的)由空气搬
若把牛顿环装置(都是用折射率为1.52的玻璃制成的)由空气搬入折射率为1.33的水中,则干涉条纹( )。
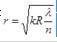
在空气膜的牛顿环中,两反射光分别在光疏到光密媒质界面上反射和在光密到光疏媒质界面上反射,因而存在λ/2的附加光程差,在水膜的牛顿环中也存在λ/2的附加光程差,所以中心仍为暗斑。明环的半径

和暗环的半径

与折射率平方根成反比,所以在水中的牛顿环条纹较密。
矩阵
对应特征值λ=-1的全部特征向量为( )。

设f(x,y)=ytanx+xexy,则
=( )。

质量为m的质点A以匀速v沿圆周运动,如图10所示。质点由A1开始运动一周后又返回到A1这一过程质点所受合力的冲量( )。

下列说法正确的是( )。
如图22所示电路中,当负载RL获得最大功率时,RL=( )。

关于原电池的下列叙述中错误的是( )。
下列原子半径大小顺序中正确的是( )。
某平面任意力系向A点简化的主矢为零,而向另一点B简化的主矩为零。判断下述说法是否正确( )。
如图13所示受拉螺杆的许用挤压应力为[σc],则该杆能承受的最大载荷[F]为( )。


如图6所示,力或力偶对点A的矩都相等,它们引起的支座约束力是否相等
