当前位置:首页 → 建筑工程 → 注册环保工程师 → 注册环保工程师公共基础->频率υ=500Hz的机械波,波速u=360m·s-1,则同一
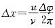
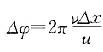
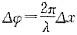
频率υ=500Hz的机械波,波速u=360m·s-1,则同一波线上相位差为
的两点间的距离为()。
由波的相位传播的概念可知,相距一个波长λ的两个质元在同一时刻的相位差为2π,所以相距△x的两质元在同一时刻相位差为
,而波速u=λυ,有
,即
,代入题设数值,可得△x=0.12m
矩阵
对应特征值λ=-1的全部特征向量为( )。

设f(x,y)=ytanx+xexy,则
=( )。

质量为m的质点A以匀速v沿圆周运动,如图10所示。质点由A1开始运动一周后又返回到A1这一过程质点所受合力的冲量( )。

下列说法正确的是( )。
如图22所示电路中,当负载RL获得最大功率时,RL=( )。

关于原电池的下列叙述中错误的是( )。
下列原子半径大小顺序中正确的是( )。
某平面任意力系向A点简化的主矢为零,而向另一点B简化的主矩为零。判断下述说法是否正确( )。
如图13所示受拉螺杆的许用挤压应力为[σc],则该杆能承受的最大载荷[F]为( )。


如图6所示,力或力偶对点A的矩都相等,它们引起的支座约束力是否相等
