当前位置:首页 → 建筑工程 → 注册环保工程师 → 注册环保工程师公共基础->关于热力学温度的意义,有下列几种说法:(1)气体的温度是分子
关于热力学温度的意义,有下列几种说法:
(1)气体的温度是分子的平均平动动能的量度
(2)气体的温度是大量气体分子热运动的集体表现,具有统计意义
(3)温度的高低反映物质内部分子运动剧烈程度的不同
(4)从微观上分析,气体的温度表示每个气体分子的冷热程度
以上说法其中正确的是()。
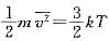
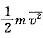
由能量公式
可知,理想气体的热力学温度T是气体分子平均平动动能
的度量,是大量气体分子热运动的集体表现,具有统计意义,也是物质内部大量分子热运动剧烈程度的度量,对个别分子要说它有温度是没有意义的
矩阵
对应特征值λ=-1的全部特征向量为( )。

设f(x,y)=ytanx+xexy,则
=( )。

质量为m的质点A以匀速v沿圆周运动,如图10所示。质点由A1开始运动一周后又返回到A1这一过程质点所受合力的冲量( )。

下列说法正确的是( )。
如图22所示电路中,当负载RL获得最大功率时,RL=( )。

关于原电池的下列叙述中错误的是( )。
下列原子半径大小顺序中正确的是( )。
某平面任意力系向A点简化的主矢为零,而向另一点B简化的主矩为零。判断下述说法是否正确( )。
如图13所示受拉螺杆的许用挤压应力为[σc],则该杆能承受的最大载荷[F]为( )。


如图6所示,力或力偶对点A的矩都相等,它们引起的支座约束力是否相等
