当前位置:首页 → 建筑工程 → 注册环保工程师 → 注册环保工程师公共基础->如图所示为一个用四个相同铆钉连接的接头,已知拉杆与铆钉的材料
如图所示为一个用四个相同铆钉连接的接头,已知拉杆与铆钉的材料相同。材料的许用剪应力为[τ],许用挤压应力为[σbs],则其剪切强度条件和挤压强度条件是( )。


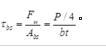
每个铆钉承担的作用力为P/4,每个铆钉的剪切面均为直径为d的圆,则由剪应力公式

挤压面面积为dt,则由挤压强度公式

矩阵
对应特征值λ=-1的全部特征向量为( )。

设f(x,y)=ytanx+xexy,则
=( )。

质量为m的质点A以匀速v沿圆周运动,如图10所示。质点由A1开始运动一周后又返回到A1这一过程质点所受合力的冲量( )。

下列说法正确的是( )。
如图22所示电路中,当负载RL获得最大功率时,RL=( )。

关于原电池的下列叙述中错误的是( )。
下列原子半径大小顺序中正确的是( )。
某平面任意力系向A点简化的主矢为零,而向另一点B简化的主矩为零。判断下述说法是否正确( )。
如图13所示受拉螺杆的许用挤压应力为[σc],则该杆能承受的最大载荷[F]为( )。


如图6所示,力或力偶对点A的矩都相等,它们引起的支座约束力是否相等
