当前位置:首页 → 建筑工程 → 注册环保工程师 → 注册环保工程师公共基础->图示凸轮机构,凸轮以等角速度ω绕通过O点且垂直于图示平面的轴
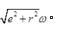
图示凸轮机构,凸轮以等角速度ω绕通过O点且垂直于图示平面的轴转动,从而推动杆AB运动。已知偏心圆弧凸轮的偏心距OC=e,凸轮的半径为r,动系固结在凸轮上,静系固结在地球上,则在图示位置()杆AB上的A点牵连速度的大小等于( )。


当机构旋转到图示位置时,A点距旋转中线O的距离为

因此A点牵连速度的大小等于

矩阵
对应特征值λ=-1的全部特征向量为( )。

设f(x,y)=ytanx+xexy,则
=( )。

质量为m的质点A以匀速v沿圆周运动,如图10所示。质点由A1开始运动一周后又返回到A1这一过程质点所受合力的冲量( )。

下列说法正确的是( )。
如图22所示电路中,当负载RL获得最大功率时,RL=( )。

关于原电池的下列叙述中错误的是( )。
下列原子半径大小顺序中正确的是( )。
某平面任意力系向A点简化的主矢为零,而向另一点B简化的主矩为零。判断下述说法是否正确( )。
如图13所示受拉螺杆的许用挤压应力为[σc],则该杆能承受的最大载荷[F]为( )。


如图6所示,力或力偶对点A的矩都相等,它们引起的支座约束力是否相等
