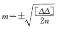
下列公式中,由两次重复测量较差计算单次测量中误差的公式是()。
按《测绘成果质量检查与验收》(GB/T24356-2009)4.3.6条款规定,同精度重复测量时,中误差按下式计算:
本题中,选项A中公式适用于用改正数求观测值中误差;选项B中公式为费列罗公式,用于据三角形闭合差ω计算测角中误差;选项C中公式为中误差的定义式,用于用真误差计算观测值中误差的情况。故选D。
沿海某市为了港口建设,需要对甲地到乙地距海岸线10km水域进行水下地形测量。获取1:10000的水下地形图。
1.指标要求
(1)平面坐标系统:城市坐标系,高斯投影,3 0分带;
(2)高程系统:1 9 8 5国家高程基准,当地理论深度基准面;
(3)测图比例尺:测图比例尺为1:10000,等深线间距1m;
(4)精度要求:定位精度要求2m,测深精度要求0.3%水深,交叉点测深不符值均方根要求小于0. 5m。
2.现有资料
(1)市区的1:10000的地形图;
(2)测区附近有4个三等GPS控制点;
(3)测区附近有3个二等水准点。
3.设备
水下地形测量采用的设备如下:
(1)定位设备(GPS):根据测量比例尺、精度和测量环境采用信标GPS接收机。
(2)测深设备:应根据要求采用单波束、多波束测深设备。
(3)声速测量:应该根据水深以及区域温度、盐度变化采用声速剖面仪。
(4)验潮仪:对于需要架设临时验潮站的情况,可采用水尺验潮、波潮流仪、压力式验潮计
(5)水准测量:水准仪或者全站仪。
(6)其他辅助设备:为实现精确测深,可考虑在测深中配备姿态传感器和光线罗经等辅助
设备,辅助设备还包括计算机、发电机等其他区设备。
【问题】
1.简述海洋工程测量的主要内容。
2.简述测深线的布设要求。
3.简述深度改正的内容。
某市根据城市建设规划,计划在市东北区域建立高新技术开发区。××测绘单位承担了规划区地形图测绘任务。
该测区面积约26. 0m2,地势平坦,为东西长南北短的矩形区域,多为农村居民点和农田。测区内有两个D级GPS点,一个在测区西北角,另一个在测区东北角。
【问题】
1.简述地形图表示的基本内容。
2.案例中的图根控制测量适合采用何种导线形式?其外业工作包括哪些内容?
3.简述大比例尺地形图的作业流程。
1.测区自然地理概况
某省某市经济技术开发区(以下简称开发区)位于某市东南部,东至东三环,西至中州路,南至包河,北至文化路。开发区属城乡接合部,开发区共有7个村委会,另辖平台镇政府。建成区高楼林立,地物繁多,街道星罗棋布,京九铁路贯穿测区南北,交通繁忙。村庄内房屋密集,院落凌乱,树木茂密,通视困难。地籍测绘面积约1 3平方千米。
2.主要技术依据
(1)《中华人民共和国土地管理法>(2 00 4年修订版);
(2)《第二次全国土地调查技术规程》(TD/T 1014—2007),以下简称《规程》;
(3)国务院第二次土地调查领导小组办公室发布的《第二次全国土地调查底图生产技术规范》;
(4)国务院第二次土地调查领导小组办公室发布的《第二次全国土地调查成果检查验收办法》;
(5)《土地利用现状分类标准》(GB/T 21010—2007);
(6)《城镇地籍调查规程》(TD 1001—93);
(7)《全球定位系统城市测量技术规程》(CJJ 73—97);
(8)《国家基本比例尺地形图分幅及编号》(GB/T 13989—92);
(9)《城市测量规范》(CJJ 8—99)。
3.数学基础
(1)平面坐标系统采用1 9 8 0西安坐标系;
(2)高程系统采用1 9 8 5国家高程基准。
4.现有测绘成果资料
(1)某市国土局提供的4个D级GPS点的平面坐标(80坐标),四等水准高程(8 5国家高程基准);
(2)有关土地登记资料(征地批文、征地图、出让、转让、地籍调查表等);
(3)110000土地利用现状图;
(4)110000土地利用规划图;
(5)城市分等定级图;
(6)正摄影像图(DOM)。
5.比例尺及分幅
(1)基本地籍图采用1: 500比例尺,图形分幅为50cm*50cm矩形分幅;
(2)地籍图幅编号以图廓西南角坐标1 0千米数(小数后两位)编号:X坐标在前,Y坐标在
后,中间以“—”连接,图名采用图幅内较大的单位、住宅小区、村庄名称等。
【问题】
1.基本地籍图包含哪些内容?
2.宗地图包括哪些主要内容?
3.地籍测量包括哪些内容?
4.在工作完成后,测绘单位应提交哪些成果?
某测绘单位受房管局委托,承担了花园小区B区的房地产测绘任务,该区共有建筑1 0栋,房屋建筑形式为住宅形式。本房产测绘工程的主要目的是进行产权登记测绘。任务包括房产平面控制测量、房产调查、房产要素测量、房产面积测算、房产分户以及成果资料的检查与验收。本工程按二级房产面积测量精度执行。
【问题】
1.简述房屋及其附属设施测量的内容。
2.简述房产要素测量的主要内容。
3.房产测绘成果资料检查验收项目包括哪些?
1.任务概况
某地区随着GPS控制.网的建立,其测绘成果与原有的1 9 80西安坐标系测绘成果不统一。为了统一测绘成果,更好地为社会服务,计划将GPS网的坐标成果转换为1 9 80西安坐标系成果。该地区共有××个GPS网点。
2.目标
将GPS控制网成果转换为1 9 80西安坐标系成果。
3.测区已有资料情况
该地区有×个国家三角点成果,在布测高精度GPS网时,对其进行了联测。
【问题】
1.我国常用的坐标系有哪些?各属于什么坐标系?
2.坐标系转换可分为哪两类?
3.什么是重合点,重合点的选取的原则是什么?
4.根据案例确定转换模型,并对坐标转换计算步骤进行简述。
为满足经济建设对基础测绘资料的需求,完善基础地理信息库,某市准备生产该地区1:10000比例尺的数字地面高程模型(DEM)。现已完成了前期的准备工作,包括:全部测区的航空摄影、区域网外业控制点的测设和解析空中三角测量(空三加密)等工作。
1.测区自然地理概况
测区位于华北地区的一个地级城市,总面积约4500km2。测区为平地和丘陵两种地形,测区内海拔高度平均低点为20m,最高海拔230m。
2.主要技术依据
(1)《基础地理信息数字产品1:10000 1;50000生产技术规程第2部分:数字高程模型(DEM》(CH/T 1015. 2—2007);
(2)《基础地理信息数字产品1:10000 1:50000数字高程模型》(CH/T 1008—2001);
(3)《基础地理信息数字产品1:10000 1:50000生产技术规程第1部分:数字线划图(DLG》(CH/T 1015. 1—2007);
(4)《数字测绘成果质量要求》(GB7T 17941—2 008);
(5)《数字测绘成果质量检查与验收》(GB7T 18316—2008);
(6)平面系统采用1 9 8 0西安坐标系;
(7)高程系统采用1 9 8 5国家高程基准。
3.航空摄影资料
航空摄影采用传统的航空摄影方式,航摄比例尺1:10000,航摄像机型号为RC-30。像幅为23cm*23cm,航摄仪焦距152mm,影像扫描分辨率0.02mm,像片类型为彩色片。航摄总面积为4500km2,测区共布设3 4条航线,每条航线1 1 2张航片,测区航片总数为3 8 0 8张,东西向飞行,航片的航向重叠6 5%,旁向重叠35%。航空摄影成果已通过质检部门的检查验收,其飞行质量和影像质量均满足规范和设计
要求。
4.其他资料情况
(1)区域网外业像片控制点测量成果情况
整个测区的区域网外业控制点的布设和测量工作已全部完成,分别按平地和按陵地区布设方案实施,其基本情况如下:①平坦地区航线按每4条基线在其周边布设6个平高点;②丘陵地区航线按每4条基线在其周边布设8个平高点;③区域网外业像片控制点的精度和成果质量均符合规范和技术设计的要求,质检部已同意将该成果移交给解析空中三角测量和立体图工序使用。
(2)解析空中三角测量成果基本情况
整个测区的解析空中三角测量的工作已全部完成,其成果质量符合规范和技术设计的要求,并已全部通过质检部门的检查验收,同意移交给下一工序使用。
【问题】
1.DEM数据采集的方法主要有哪些?
2.试述DEM的质量检查。
3.DEM数据生产应提交哪些成果?
某市根据基础测绘规划,拟对本地区进行二、三等水准测量。主要工作内容包括:二等水准观测1000km,三等水准观测500km,对全区的水准网进行统一的平差计算,高程基准采用1 9 8 5国家高程基准。××测绘大队承担了该项目。现有资料如下:
1.图件资料
测区现有1:100000、1:50000、1:10000地形图。
2.水准资料
4个国家一等水准点,其中2个基本点和2个基岩点。根据测区实际情况设计埋设:二等点3 0 7个,其中基本标石点8座,普通标石点2 9 9座;三等点3 6 1个,全为普通标石点。(该地区为II地区)
大地测量水准测量成本定额规定见下表。

【问题】
1.计算工程经费(保留小数点后两位)。
2.简述建立三等水准网的原则和技术要求。
3.工程完成后应提交哪些成果?
某市计划建立该市基础地理信息库,先期进行地形要素数据库的建设。为了保证质量,对地形要素数据库进行质量控制设计。主要内容如下:
(1)制定数据检查验收规定;
(2)制定DLG数据汇交技术规定;
(3)开发检查验收软件;
(4)数据检查验收的试验与技术培训;
(5)开展数据检查验收。
【问题】
1.地理信息系统数据质量检查包括哪些内容?
2.试对生产阶段检查工作的实施进行设计。
为了保证“××市地形要素数据库”项目顺利完成,保证其成果的可靠、真实,某测绘单位承担了该项目的质量控制工作。主要工作内容包括:根据相关标准和规定制定数据质量检查的标准和规定、开发检查验收软件、数据检查验收试验、数据检查验收。
【问题】
1.试述“二级检查、一级验收”制度。
2.质量检查的主要方法有哪些?
3.简述质量检查所采用的技术方式。
以某市城乡土地管理信息数据库的设计和建立为例说明专题地理信息数据库的建设过程,包括数据库建设需求分析、数据库构成、专题数据的组织、数据库的物理设计共四个部分。
[问题]
1.土地专题空间数据主要包括哪些内容?这些数据如何获取?
2.土地信息专题数据库设计要遵照哪些原则?
3.简述建立共享数据库的基本流程。
4.元数据的作用是什么?建立元数据库的基本原则有哪些?