下列哪项因素会影响到地租与地价的关系?( )(2013年真题)
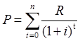
“价格”是一个决定性的因素。在理论分析中,“价格”是指租用价格,即通常所说的“租金”。租用价格(R)和购买价格(P)之间有一个基本关系,即:

购买价格等于多年租用价格贴现之后的“和”。式中,i是贴现率(利率),t代表年份,n代表一共使用多少年。对于住房者来说,n可按住房的寿命年份计算。
中国明清江南私家园林布局的特征包括()
行道树的最小布置宽度应以保证树种生长的需要为准,一般为1.5m,相当于树穴的()
以下各建筑中()是伊斯兰教建筑的代表。
关于城市燃气输配管道的压力表述中,正确的有()
以下属于种群特征的是()
生态系统的成分,不论是陆地还是水域,都可分为生物环境与非生物环境、生产者、消费者和分解者四种基本成分,其中()是地球生命的支持系统。
当干路设计车速为50km/h时,互通式立交最小净距值为()
将固体废物填入确定的谷地、平地或废矿坑等,然后用机械压实后覆土,使其发生物理、化学、生物等变化,分解有机物质,达到减容化和无害化的目的。这是固体废物处理中的()方法。
关于建筑石膏性质的表述,正确的是()
根据建设部[2003]84号文件中《建筑工程设计文件编制深度规定》,大中城市建筑设计的阶段_般不包括()