有一个三棱锥,每个面均为边长为2的正三角形,已知该三棱锥的四个顶点位于同一个球面上,则此球的体积为:
第一步,本题考查几何问题,属于立体几何类。
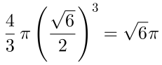
第二步,由于三棱锥的边长均为2,故可借助正方体辅助求解,构造棱长为
的正方体,如下图:

B1-ACD1是棱长为2的正四面体,且正四面体B1-ACD1与正方体ABCD-A1B1C1D1有相同的外接球,设外接球的半径为r,2r=
,r=
。所以此球的体积V球=
。
因此,选择B选项。
2016 年2月,法国文化部将“历史文化名屋”的牌子授予绍兴鲁迅纪念馆,这是法国首次将 “历史文化名屋”称号授予外国纪念馆,引发了广泛的关注。绍兴是首批历史文化名城,名士如 过江之鲫,遗留下众多的名人故居、历史名屋。鲁迅故居是其中的代表。
“大师对话”是鲁迅基金会推出的一个文化项目,其目的是通过中国文化巨匠鲁迅与世界 各国文化大师跨时空的对话,达到文化交流的目的。 这一对话的实质就是以“名人+民间”之力, 让中华文化与中国文化大师走向世界,增强中国文化软实力在世界范围内的影响。
2014 年和 2015 年鲁迅基金会举办“大师对话?鲁迅与雨果”活动,在中法两国文化界引起
轰动,并结下了丰硕的成果。 2015 年,中国的鲁迅和俄国的托尔斯泰也进行了“跨时空对话”,在 中俄两国文化界引起了强烈反响。鲁迅故乡人与托尔斯泰故乡人结下了深深的友情。
鲁迅长孙周令飞告诉记者,2016 年,鲁迅将与印度文学大师泰戈尔进行跨时空对话,目前, 德国、日本、英国等多个国家的相关人士纷纷与他联系,希望中国的鲁迅能与他们国家的文化 大师进行跨时空对话。 这充分说明,“大师对话”已产生了世界影响力。 “大师对话”就如同一列 专列,一站一站地驰向未来,把中国文化与友情播种到世界各地。
绍兴的历史文化名屋很多,古时的“三千台门”“十万人家”留存下来的都已成为历史文化 名屋。 这些融合了绍兴物质文化与非物质文化的老台门成为绍兴智慧和文化的结晶,延续着绍 兴先贤的气息,绽放着绍兴文化的光彩。 像王羲之故居、青藤书屋、王阳明故居、吕府、蔡元培故 居、周恩来祖居、秋瑾故居、章学诚故居、范文澜故居、大通学堂等,无一不是绍兴的古台门。 绍 兴八大历史街区大都是老房子,其中台门是最有魅力的场所。 许多老台门原本就是历史名屋。 名人与名屋相映,在小桥流水老街的意境中,成为绍兴最有特色的文化基因。
绍兴是中华文化的重镇,是中华文化的典型代表。 绍兴应有更大的文化担当,传承好自己 的文化基因,建设好自己的文化高地,引领民族文化走向世界。
绍兴也可将鲁迅文学奖颁发给世界各地的文学爱好者,可设立国际兰亭书法奖,颁发给世 界各地的书法爱好者,可以将王阳明哲学奖颁发给世界各地的哲学爱好者,可以将蔡元培教育 奖颁发给世界各地的教育者……以此让全世界都知道绍兴。 这便是传承文化的基因,抢占文化 的高地,引领文化的潮流,用优秀的文化引领世界文化。
结合以上材料,以“文化品牌”为话题,自选角度,自拟题目,写一篇1000字左右的议论文。
要求:中心明确,内容充实,论述深刻,有说服力。
资料一
新中国成立后,创新在国家发展中的作用得到中央高度重视。 20 世纪 50 年代制定的十二 年科技发展规划,为新中国科技事业发展和“两弹一星”的成功奠定了基础。 改革开放以来,从 提出“科学技术是第一生产力”到实施科教兴国战略、自主创新战略,再到实施创新驱动发展战 略,无不体现了中央对科技创新重要作用的深刻认识、对国际国内发展形势的准确把握。
从国际发展形势看,新一轮科技革命蓄势待发,一些重大颠覆性技术创新正在创造新产业 新业态,这为中国创新发展提供了难得的历史机遇。 在世界近代史上,中国屡次与科技革命失 之交臂,令人扼腕叹息。 今天,中国在科技创新领域的巨大进展使我们具备了参与和引领新一 轮科技革命和产业变革的潜力,历史将不能容忍我们丧失这样的重大发展机遇。
从国内发展形势看,随着中国经济发展进入新常态,经济下行压力加大,市场需求、产业结 构、供给能力等都发生了深刻变化,迫切需要依靠创新来推进供给侧结构性改革,提高供给体 系质量和效率,加快培育新的发展动能,推动社会生产力水平整体跃升。 创新已经成为加快转 变经济发展方式、推进结构调整和产业升级的关键。
资料二
以习近平同志为总书记的党中央审时度势, 把创新在国家发展中的地位提升到了新的高 度。 2013 年 9 月,习近平同志在主持中央政治局第九次集体学习时强调,实施创新驱动发展战 略决定着中华民族前途命运。 全党全社会都要充分认识科技创新的巨大作用,敏锐把握世界科 技创新发展趋势,紧紧抓住和用好新一轮科技革命和产业变革的机遇,把创新驱动发展作为面 向未来的一项重大战略实施好。2015 年 9 月,党的十八届五中全会把创新放在五大发展理念之 首、摆在国家发展全局的核心位置。 2016 年 5 月,习近平同志在全国科技创新大会上指出:“实 施创新驱动发展战略,是应对发展环境变化、把握发展自主权、提高核心竞争力的必然选择,是 加快转变经济发展方式、破解经济发展深层次矛盾和问题的必然选择,是更好引领我国经济发 展新常态、保持我国经济持续健康发展的必然选择。 ”这些重要论述,阐明了创新在我国目前发 展阶段的战略地位和重大作用。
问题:
1.结合给定材料,分析我国为什么要实施创新驱动发展战略? (15分)
要求:观点正确,分析有理有据,不超过 300 字。
2.你认为我国应该怎样实施创新驱动发展战略? (15分)
要求:符合实际、针对性强,不超过 300 字。
资料一
每当华灯初上,全国各地的广场、公园里都会响起欢歌劲曲,几十甚至上百位中老年人聚 在一起,随着节拍跳起广场舞。 简洁有力的动作、节奏感强的音乐、平常的大妈,这些普普通通 的元素却让广场舞风靡大江南北,甚至跳出国门。 本应是全民娱乐、健身的广场舞,现已经有变 成“全民公害”之势。 身在其中的大妈们跳得不亦乐乎,或是高唱革命老歌,或是扭起东北秧歌, 总之都是震耳欲聋的高分贝。 身在其外的居民小区的住户则苦不堪言,读书的孩子无法专心地 做作业、学习,上班一族不能安静地休息、睡觉。 深受噪音困扰的人忍无可忍,在劝告无效后甚 至做出极端举动:有人泼粪尿秽物、有人举起猎枪鸣枪警告……现在,广场舞的规模逐步发展 壮大,甚至有走出国门的趋势,有新闻报道,远在美国纽约广场上跳舞的华人大妈们因妨碍、影 响他人还被报警,收到了法庭的传票。
资料二
近年来,“广场舞”被贴上了令人生厌的“扰民”标签,最近又因舞者互掐而再次引来了人们 的关注。
2016 年 5 月 22 日,青岛中山公园里,一群老人使用高分贝喇叭吹奏口琴,引起旁边一群练 太极拳的老人不满,双方起了争执并互扔东西,闹得民警出动。 如何让“广场舞”舞得自由,避免 因扰民而不受人待见,成为一道公共考题。
“广场舞”可以丰富人们的文化生活。 不过,“广场舞”的自由不能以侵犯他人享受清静的权 利为代价。 只主张自己的权利,无视他人的权利,是滋生冲突的重要诱因。
维护社会和谐,需要强化包括权利意识和法律意识在内的现代公民意识。 权利意识的增长 一方面标志着公民意识的觉醒;另一方面,权利意识的增长不能肆意膨胀,应该明确权利的边 界,懂得行使权利的先决条件。 “拳头止于他人鼻尖”“誓死捍卫他人说话的权利”,说的就是维 护自己权利与捍卫他人权利的统一。 只知道自己有权利,不懂得尊重他人的权利,算不得是现 代公民意识。 可见,现代公民的成长,始终“在路上”。
其实,“广场舞”并非天然就是“扰民”的代名词。 近年来,一直有人希望各地“广场舞”能降
低音量,或者让参加者佩戴耳机。 如果有人侵入了他人的权利领域,应该有人来进行协调。 最 近,福建省福州市就为高考启动了“静音模式”。 当地公安部门指导社区对广场舞组织者实行登 记,有噪音扰民将进行劝导。 落实好利益协调机制,让公民心中有他人,做到爱己及人,“广场 舞”一定可以找到合适的舞台,舞出精彩,舞出自由。
资料三
张华珍是洪山区黄家湖社区福星惠誉东澜岸小区腰鼓队的领队,2014 年 8 月,她从洪山广 场附近搬到黄家湖居住,一开始,只有相熟的 4 个人在广场上跳舞,后来参加的人越来越多,现 在已有 25 个人,最小的 30 多岁,最大的 67 岁。 “腰鼓是非物质文化遗产,跳的人多了,就不会 在大众间失传,既锻炼身体,丰富居民的文化生活,还起到传承非遗的作用。 ”张华珍说。
耿朝霞也是这个小区最年轻的广场舞者,年纪大的则有六七十岁。 对于广场舞的风靡,采 访中,很多人都说,露天而舞,空间更大,气氛更热烈,人越多跳得越起劲儿,“跳广场舞已成为 一种生活习惯”。
但跳广场舞也面临另外一个问题———扰民。 无论是打腰鼓还是跳舞,都有噪音。 “起初,附 近的住户和商户都比较反感,也经常投诉,我们一家一家做工作。 ”耿朝霞和张华珍,以及其他 广场舞者,都经历过“协商”的过程,他们经常上门做工作,说:“叔叔阿姨们都辛苦了大半辈子, 跳跳广场舞可以让晚年生活轻松快乐,我们也尽量缩短时间,调小音量。 ”
于是,这个小区的几支广场舞队伍和物业、住户达成了一个“约定”,每天晚上 9 点钟之前, 就收起音响,收队回家。 跳舞得到了居民的谅解,这里的广场舞“收队”时间也更早了,“我们都 在 8 点 40 分以前就回家了,大家都要互相体谅。 ”采访时,大家都表现出了难得的理解包容。
问题:
试分析广场舞大妈与周边居民产生矛盾的主要原因,并提出化解此类矛盾的对策和建议。(20分)
要求:观点正确,分析有理有据,措施合理、可行,条理清晰,不超过350字。
镜头一:(周一举行升旗仪式)当国歌奏响,国旗升起时,小美却在队伍中嬉笑打闹。旁边同学提醒她注意尊重国旗,而小美却说:“每周都升旗,无聊死了,还不如让我们活动一会,做点有意思的事。”
镜头二:历史课上,当老师讲到民族英雄的名字时,学生们面面相觑。由于对民族英雄的故事知之甚少,学生经常跟不上老师的教学节奏。
经过调查,班主任发现,不少学生不明白升旗仪式的意义,也不了解民族英雄的故事。有的学生甚至表示:都什么年代了,还提爱国,这离自己太远了。
如果你是班主任,请针对班中同学们存在的突出问题,自选一个学段(小学、初中或高中),设计一个有针对性的教育活动方案。要求完成以下具体任务:
1.拟定活动方案的主题。
要求:主题鲜明,概括准确,字数不超过25字。
2.阐述活动方案设计的依据。
要求:清晰合理,表达简洁,字数不超过100字。
3.写出活动方案的目标、内容与过程。
要求:目标明确,内容充实,措施得当,具有针对性及操作性,字数不超过600字。
4.如果该方案付诸实施,你将如何评估其效果?
要求:指标恰当,方法可行,字数不超过100字。
案例一:
记得初一刚刚开学时,我班里有个男生,性格暴躁,态度粗鲁,别人稍不合他意就出口骂人、动手打人,在班级里纪律涣散,是一个典型的“自我主义者”。每一件事都是他认为是对的就去做,全然不顾老师和同学的想法和感受。一次社会课上,我提了几个问题叫学生回答,他也把手举在那里,嘴上喊着:“我会,我来回答,我来回答……”但我没有理他,他就坐在下面大吵大闹,嘴上嘟囔“我会回答的问题为什么不叫我回答?”这严重影响了其他同学听课。类似他这样的学生,班级里还有一小部分,如果这种势头不压住的话,将对整个班级不利。所以,我经常让他为班级服务以示惩罚,如扫厕所,倒垃圾等。他自己干得挺认真,上课的时候也不再吵闹,只要我在,他就乖很多,但在其他课堂上依然如故。我逐渐发现他很怕我,而且对我有敌意,这让我感到很困惑。
案例二:
开学不久,陈老师发现学生杨朗有许多毛病。陈老师心想,像杨朗这样的学生,缺少的不是批评,而是肯定和鼓励。一次,陈老师找他谈话说:“你有缺点,但你也有不少优点,可能你自己还没有发现。这样吧,我限你在两天内找到自己的优点,不然我可要批评你了。”第三天,杨朗很不好意思地找到陈老师,满脸通红地说:“我心肠好,力气大,毕业后想当兵。”陈老师听后说:“这就是了不起的优点。心肠好,乐于助人,无论哪里都需要这种人。你力气大,想当兵,保家卫国,是很光荣的事,你的理想很实在。不过当兵同样需要学习科学文化知识,需要有真才实学。”听了老师的话,杨朗高兴极了,脸上露出了微笑。
问题:
1.请运用相关教育原理,针对案例一中学生的情况,提出具体教育策略。
要求:全面、准确,条理清晰,字数不超过300字。
2.请根据案例二,分析陈老师的做法遵循了哪些德育原则。
要求:问题分析准确,建议具体、合理,字数不超过300字。
3.根据上述案例给你的启示,谈谈在对学生进行德育时如何做到长善救失。
要求:结合案例阐述,准确清晰,字数不超过400字。
有人说,“物质奖励比表扬更能激发学生的学习动机。”请你就这一观点做出判断和分析。
要求:判断准确,观点明确,分析合理,条理清晰,字数不超过400字。
现代社会,科技早已不再是象牙塔里的智力游戏,它与我们的日常生活越来越相关,它不仅代表了人类认识自然、挑战自然、与自然和谐相处的成就,而且不断影响和改变着人们的价值观和对许多问题的看法。2017年全国科技活动周期间,累计有2.3亿人次参加相关活动,展现了人们对现代科技及其进展强大的热情。
国民科技热情的增长,一方面是科技知识溢出效应的体现,另一方面也有赖于全民科学素质的提高。中国科协第九次中国公民科学素质抽样调查显示,2015年我国具备科学素质的公民比例达到了6.20%,比2010年的3.27%提高了近90%,而这个数字在2007年是2.25%,在2003年是1.98%。
不过,虽然近年来我国公民科学素质提升较快,但是与发达国家相比,仍有较大差距。即使到2020年我国成功实现公民具备科学素质的比例超过10%的目标,也只是刚刚跨过创新型国家的最低门槛,与世界主要发达国家20%甚至30%的水平相比仍存在很大差距。与公民科学素质整体水平相对较低的现状同时存在的是,我国东西部地区之间、城乡之间的公民科学素质差距越来越大。
2016年5月30日,习近平总书记在全国科技创新大会、两院院士大会、中国科协第九次全国代表大会上指出,没有全民科学素质的普遍提高,就难以建立起宏大的高素质创新大军,难以实现科技成果的快速转化。希望广大科技工作者以提高全民科学素质为己任,把普及科学知识、弘扬科学精神、传播科学思想、倡导科学方法作为义不容辞的责任,在全社会推动形成讲科学、爱科学、学科学、用科学的良好氛围,使蕴藏在亿万人民中间的创新智慧充分释放、创新力量充分涌流。
请参考给定材料,结合实际,围绕“全民科学素质”话题,自拟题目,写一篇议论文。
要求:观点鲜明,论证充分,逻辑严谨,语言流畅,字数1000~1200字。
2017年国庆期间,在杭州万象城肯德基的KPro餐厅里,不少人正在尝试使用“看脸吃饭”这一新的支付方式:在自助点餐机上选好餐,进入支付页面,选择“支付宝刷脸付”,然后进行人脸识别,大约需要1~2秒,再输入与账号绑定的手机号,确认后即可支付,整个支付过程不到10秒。
而从刷脸识别场景上来看,也是愈加丰富。2017年6月,南航在南阳机场启用国内首个人脸识别智能化登机系统;2017年9月,北师大、北京科技大学等高校已启用刷脸系统;沈阳交警启用人脸识别系统,让行人闯红灯抓拍进入刷脸时代;南宁明月湖相思湖公园试用人脸识别厕纸机,游客刷脸即可取厕纸……说明我国已经全面进入“刷脸”时代。
对于已退休的养老险客户而言,养老金领取本来是件麻烦事,需要到单位或保险公司进行业务申请,提交一大堆的材料。现在,用手机登录APP,填写银行账号和联系信息,上传证件、银行卡和退休证明材料,再用手机对着自己拍个照、做几个简单的动作并提交,最快两分钟就能在线完成商业养老险的领取申请。可见,线上商业养老保险的领取申请将取代线下商业养老保险的领取申请。
而来自前瞻产业研究院的数据也显示,2016年我国人脸识别行业市场规模已超过10亿元,预计到2021年将达到51亿元左右。那么到2030年,我国人脸识别行业市场规模必将超过100亿元。
虽然刷脸识别正在被迅速应用且被大众所接受,但其存在的问题却不可轻视。国家“千人计划”专家、西安交通大学电信学院特聘教授龚怡宏表示,即使在测试中很多刷脸识别技术准确度超过99%,但运用于现实中会大打折扣。在现实中人群样本更大,不同光线、姿态、分辨率等条件都可能给机器识别带来困难。此外,双胞胎、整容前后等特殊情况下机器能否识别,要看具体情况。而且脸部信息也会随着年龄增长而改变,有可能会达到机器无法识别的程度。由此可见,安全问题是阻碍刷脸识别快速发展的唯一问题。
2017年10月4日,中秋之夜,中国云南省迪庆藏族自治州上空发生了一次火流星事件。美国国家航空航天局(NASA)喷气动力实验室(JPL)所属的近地天体研究中心的探测显示,这次火流星事件发生的高度约为37000米,火流星在与大气相互作用的过程中释放的能量约相当于540吨TNT炸药爆炸。
火流星是亮度非常高的一类流星。按照国际天文联合会的定义,如果流星在越过观测者正上方(天顶)时,视星等比-3等更明亮,则可被称为火流星。这样的亮度,大约与火星、木星最亮时差不多。但观测者刚好在天顶处观测到流星的情况十分罕见,因此一般会综合实际观测到的流星视星等和当时流星与地平线的夹角,来确定流星在天顶时的视星等。
火流星的直径一般在1米左右,它们可能来自于小行星、彗星的碎片,也可能来自于星际空间的尘埃。这些天体一般围绕太阳运动,当接近地球这样的大行星时,便会受到行星引力摄动,脱离原来的轨道,闯入地球等行星的大气层。进入地球大气的火流星,除了在与大气摩擦的过程中不断被减速、加热外,还会因其速度超过音速而压缩它前面的空气,形成激波。激波同样会对火流星产生加热作用。随着加热过程的进行,火流星会逐渐融化,运动方向前后的压强差还会对火流星产生挤压作用。当挤压作用超过火流星本身的抗拉强度时,火流星便会爆炸、碎裂。有报道称,美国用于导弹预警的侦察卫星可被用于火流星探测。此外,国际全面禁止核试验条约组织用来监控全球核试验的次声波监测网,也能发挥同样的作用。这套监测网记录下的火流星事件中,2013年2月15日发生在俄罗斯的火流星事件释放的能量最多。当时一颗直径在17米左右、质量约为7千吨的火流星从哈萨克斯坦进入俄罗斯,在车里雅宾斯克上空爆炸。据估计,这颗火流星总共释放的能量与44万吨TNT爆炸相当,导致约1500人受伤就医,100多人住院。大部分伤者受伤的原因是冲击波引起的玻璃碎裂和房屋震动,而不是被落到地面的陨石击伤。本次发生在中国云南省的火流星事件,释放的能量较少,因此除了在中秋之夜制造了一场天文奇观外,不足以造成实际的损害。
火流星与大气摩擦释放的热量,会将它自身及周围的大气分子电离。流星划过夜空时发出的灿烂光芒,就来自电离气体放出的光。大气分子、原子被电离时会发出红光,而由于火流星本身被电离的物质不同,发出的光的颜色也不同。例如,当火流星上的铁被电离时,将发出黄光;硅被电离时,将发出橘黄色的光。除了观赏效果外,火流星电离大气形成的等离子体柱也是科学家们研究中高层大气性质的机会。科学家们可以使用流星雷达,不断向天空中的各个方向发射无线电波。当无线电波被称作“流星余迹”的等离子体柱反射时,利用接收到的反射无线电波的信号特征,科学家能获得距离地面几十到一百多千米的高层大气密度、温度、风场等信息。
如果火流星的残骸没有在与大气摩擦的作用中燃烧殆尽,就会有陨石坠落到地面。按照化学成分的不同,可以将陨石划分为以硅酸盐为主的石质陨石、以金属铁和镍为主的铁质陨石和多种成分混合的石铁陨石。
陨石是太阳系中最古老、最原始的天体物质之一。最古老的陨石年龄与地球相当,在45亿年左右。地球上现存最古老的岩石的“年岁”,都比不上这些陨石。因此地球和太阳系早期的演变过程,可以借助这些“天外来客”来回答。2015年,NASA的科学家在陨石中发现了构成DNA和RNA的基本化合物,从而为陨石在地球生命演化过程中可能发挥过作用的论点增加了论据。由于流星体的来源是多种多样的,这次火流星事件是否是大家耳熟能详的“小行星撞地球”,还有待研究。然而,彗星、小行星等小天体撞击地球引发灾难的威胁,却是现实存在。
为了监测可能对地球产生威胁的天体,20世纪90年代,各国航天和天文研究机构联合成立了国际小行星监测网,开始对可能与地球接近的小行星进行普查式的寻天观测。NASA所属的阿雷西博(Arecibo)射电望远镜、欧空局发射的红外空间观测平台(InfraredSpaceObservatory)、中国科学院紫金山天文台盱眙观测站等仪器都在日夜监测着太空中的不速之客。此外,NASA还将功能部分失效的NEOWISE红外太空望远镜改造成了专门用来探测小行星、彗星等小天体的飞船。在执行监视任务的同时,NEOWISE也对小行星轨道在大行星引力摄动作用下的变化进行研究。
如果一颗小行星被证实将要撞击地球,科学家已经提出了许多方案来使小行星偏离原来的轨道,或者碎裂成不会造成危害的残块,来消除它们对地球的威胁。在这些方案中,威力最大也最有效的方法是发射核弹到小行星附近,运载核弹的飞船首先在小行星上砸出一个浅坑,随后在浅坑中引爆核弹,使小行星碎裂成较小的碎片,在与地球大气层的摩擦中燃烧殆尽。此外,还有动能撞击、引力牵引、太阳帆等使小行星改道的方法。而无论哪种方法的实施,都需要全世界有航天发射能力的国家紧密合作,共同应对小行星威胁。
10月12日,小行星2012TC4将与地球擦肩而过。它的个头与一般的民房相仿,最近时距离地球仅4.4万千米,相当于地球到月球距离的八分之一。由于已经准确确定了其轨道,确认它不会撞击地球,科学家并不对它的造访感到紧张,反而希望利用这次机会测试国际间联合探测和追踪小行星的能力。
———摘自《科技日报》(2017年10月12日04版)
根据文章,回答下列问题:
1.判断题:请用2B铅笔在答题卡相应的题号后填涂作答,正确的涂“A”,错误的涂“B”。
(1)火流星本身的硅物质在电离时发出黄光。
(2)流星在天顶时的视星一般会综合实际观测到的地平线到流星的仰角来确定。
(3)火流星事件带来的人员受伤,主要原因是冲击波引起的二次伤害和被落到地面的陨石击伤。
(4)飞船将核弹发射到小行星表面的浅坑中,引爆核弹,可使小行星碎裂成较小的碎片,避免撞击地球。
2.多项选择题:备选项中至少有一个符合题意,请在答题卡的相应位置填涂正确选项的序号,少选、多选均不得分。
(1)以下哪项对火流星起加热作用?()
A.火流星与大气发生摩擦
B.火流星运行过程中产生的激波
C.火流星运行过程中所受的压强
D.火流星所受的太阳辐射
(2)火流星的作用有()。
A.供游客观赏
B.为研究大气提供依据
C.为研究地球生命演化提供论据
D.研究太阳系早期演变过程
3.根据文章,在答题卡相应位置填补“火流星”发生历程的因果示意图的缺项,其中①不超过15字,②③④均不超过10字。
4.请给本文写一篇内容摘要。
要求:概括准确,条理清楚,文字简洁,不超过200字。
1.不论是在大街小巷,还是在大学校园里,“疯狂抢时间”的外卖小哥随处可见。一边打电话,一边骑着电动车,外卖小哥背离交通法规的失范行为许多人已经见怪不怪。有数据显示,2017年上半年,上海市送餐外卖行业发生伤亡交通事故共76起,“饿了么”和“美团”各占
26%。透过上海一地的数据,“速度与激情”背后的安全漏洞可见一斑。难怪有人说,外卖小哥是在“拿生命送餐”。外卖小哥的“速度与激情”,并非他们喜欢这种惊险、刺激的感觉,而是评价机制与激励机制犹如一个“紧箍咒”,不断鞭策他们“快送多跑”。
2.速度具有成瘾性,现代社会的最大“瘾疾”,可能不是海洛因、电子游戏,而是速度追求。每个人在每件事上都在往风驰电掣的频率上走,“不耐烦”是当代人的共同秉性。对他人不耐烦,对自己不耐烦,一切费时间的事情都会引起心理上的烦躁。在快餐式社会,许多人都患上了“速度烦躁症”,不愿意等待,稍微费时一些就不耐烦。为了争夺消费者,不同的外卖送餐商家在送餐时间上展开竞争,你追我赶,“疯狂抢时间”便成为一种尴尬的现实。
请参考给定材料,结合实际,围绕“速度烦躁症”话题,自拟题目,写一篇议论文。
要求:
1.观点明确,内容充实,结构严谨,语言流畅;
2.总字数800~1000字。