

若保持“十三五”时期年均增速不变,则“十四五”结束时我国快递业务收入约为()亿元。
第二步,定位图1。
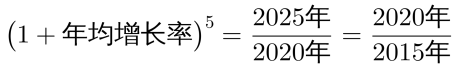
第三步,根据
,“十三五”时期为2016—2020年,五年规划求年均增速需考虑翻旧账,即以2015年为初期。“十四五”结束为2025年,根据公式可知,
,则2025年=
,选项出现首位相同第二位不同,复杂计算,将数据从左向右截取前三位,则2025年,我国快递业务收入为
,直除首两位商27。
因此,选择B选项。
从所给的四个选项中,选择最合适的一个填入问号处,使之呈现一定的规律性:
手机从只能进行语音通话、收发短信发展到能够提供网页浏览、电子商务等多种信息服务功能,甚至把宽带互联网搬到手机上,将手机变成一个接入网络的终端,其通话功能仅仅是附带功能。对上述材料体现的哲学道理说法错误的是( )。
王某为某县某镇政府工作人员,当选为H县人大代表,王某当选的正确余径是()
(二)
村民王某和施某两家相邻。2012年3月,施某在两家之间都不享有宅基地使用权的空地上砌了一堵墙。谁知,这堵墙竟成了两家关系恶化的导火索。围绕砌墙的合法性,砌墙后王家的采光、通风、排水等问题,两家互不相让。5月4日,王某、施某又起纷争,施某先动手打了王某,继而双方互殴,王某右踝骨折,施某左上臂挫伤。后经鉴定,王某被打成轻伤。王某要求施某赔偿其因轻伤所受损失,并要求公安机关对施某处以治安处罚。
王某与施某的斗殴行为在侵权形态上属于()
会签是指

“阳关大道”原是指通往( )的道路。
“手表定律”是指当我们同时拥有两只时间不一样的手表时,反而不知道准确的时间,这对做好团队工作的启示是()
转变政府职能是当前我国行政管理体制改革的核心内容和根本途径。某区政府下列行为不符合转变政府职能要求的是()
根据《国家公务员暂行条例》的规定,当公务员认为自己的合法权益受到侵犯时,可以向检察机关或者审判机关提出控告。