甲乙两车分别从A、B两地同时出发相向而行,甲车速度为40千米/小时,乙车速度为50千米/小时。两车第一次在C点相遇,相遇之后继续行进,在分别到达B地和A地后,立即返回,返回时,甲车的速度增加四分之一,乙车的速度保持不变,第二次在D点相遇,已知CD两地的距离为65千米,则AB两地的距离为()千米。
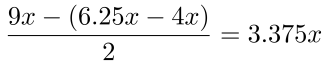
第二步,假设AB两地的距离为9x,由于甲乙两车的速度之比为4∶5,故第一次相遇时甲走4x,乙走5x。第一次相遇后,甲还需走5x才能到达B地,这段时间内乙走6.25x,当甲车到达B地后,返回时速度变为
千米/小时,乙车速度保持不变,故第二次相遇时,甲需从B地返回
,由CD距离为65千米,可得5x-3.375x=65,解得x=40(千米),则全程为9×40=360(千米)。
因此,选择D选项。
从所给的四个选项中,选择最合适的一个填入问号处,使之呈现一定的规律性:
手机从只能进行语音通话、收发短信发展到能够提供网页浏览、电子商务等多种信息服务功能,甚至把宽带互联网搬到手机上,将手机变成一个接入网络的终端,其通话功能仅仅是附带功能。对上述材料体现的哲学道理说法错误的是( )。
王某为某县某镇政府工作人员,当选为H县人大代表,王某当选的正确余径是()
(二)
村民王某和施某两家相邻。2012年3月,施某在两家之间都不享有宅基地使用权的空地上砌了一堵墙。谁知,这堵墙竟成了两家关系恶化的导火索。围绕砌墙的合法性,砌墙后王家的采光、通风、排水等问题,两家互不相让。5月4日,王某、施某又起纷争,施某先动手打了王某,继而双方互殴,王某右踝骨折,施某左上臂挫伤。后经鉴定,王某被打成轻伤。王某要求施某赔偿其因轻伤所受损失,并要求公安机关对施某处以治安处罚。
王某与施某的斗殴行为在侵权形态上属于()
会签是指

“阳关大道”原是指通往( )的道路。
“手表定律”是指当我们同时拥有两只时间不一样的手表时,反而不知道准确的时间,这对做好团队工作的启示是()
转变政府职能是当前我国行政管理体制改革的核心内容和根本途径。某区政府下列行为不符合转变政府职能要求的是()
根据《国家公务员暂行条例》的规定,当公务员认为自己的合法权益受到侵犯时,可以向检察机关或者审判机关提出控告。