某服装店销售一款新款服装,分三阶段销售。第一阶段按原价出售,共售出总数的40%;第二阶段打七折出售,共售出剩下的50%;第三阶段半价出售,售完剩余服装。最终该款服装的总利润率为52%,则打七折销售时的利润率为:
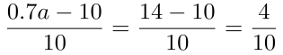
第二步,赋值成本为10,总量为10,设原价为a。根据利润率=
,可得最终的总利润=10×10×52%=52。第一阶段销量为10×40%=4,获得的利润为(a-10)×4=4a-40;第二阶段销量为(10-4)×50%=3,获得的利润为(0.7a-10)×3=2.1a-30;第三阶段按照半价出售,获得的利润为(0.5a-10)×3=1.5a-30。可列式:(4a-40)+(2.1a-30)+(1.5a-30)=52,解得a=20。
第三步,该服装打七折销售时的利润率为
=40%。
因此,选择C选项。
从所给的四个选项中,选择最合适的一个填入问号处,使之呈现一定的规律性:
手机从只能进行语音通话、收发短信发展到能够提供网页浏览、电子商务等多种信息服务功能,甚至把宽带互联网搬到手机上,将手机变成一个接入网络的终端,其通话功能仅仅是附带功能。对上述材料体现的哲学道理说法错误的是( )。
王某为某县某镇政府工作人员,当选为H县人大代表,王某当选的正确余径是()
(二)
村民王某和施某两家相邻。2012年3月,施某在两家之间都不享有宅基地使用权的空地上砌了一堵墙。谁知,这堵墙竟成了两家关系恶化的导火索。围绕砌墙的合法性,砌墙后王家的采光、通风、排水等问题,两家互不相让。5月4日,王某、施某又起纷争,施某先动手打了王某,继而双方互殴,王某右踝骨折,施某左上臂挫伤。后经鉴定,王某被打成轻伤。王某要求施某赔偿其因轻伤所受损失,并要求公安机关对施某处以治安处罚。
王某与施某的斗殴行为在侵权形态上属于()
会签是指

“阳关大道”原是指通往( )的道路。
“手表定律”是指当我们同时拥有两只时间不一样的手表时,反而不知道准确的时间,这对做好团队工作的启示是()
转变政府职能是当前我国行政管理体制改革的核心内容和根本途径。某区政府下列行为不符合转变政府职能要求的是()
根据《国家公务员暂行条例》的规定,当公务员认为自己的合法权益受到侵犯时,可以向检察机关或者审判机关提出控告。