某种病毒感染对象主要是儿童,按照卫生委的测算,在6月2日某市统计感染儿童数为30人,以后每天新增感染人数都比前一天多60。该市在迅速采取公共卫生事件处理预案后,每天新增感染人数都比前一天少30,到6月21日新增感染人数为0为止,一共感染了3810名儿童。那么是从哪一天感染人数开始减少的?
解法一:第一步,本题考查数列问题,用代入排除法。
第二步,代入A选项,则增长了4天,新增感染人数分别为30、90、150、210,6月6日为180,根据an=a1+(n-1)d,则到0的天数为(180-0)÷30+1=7天,共11天,不符合6月21日结束;
代入B选项,则增长了5天,新增感染人数分别为30、90、150、210、270,6月7日为240,根据an=a1+(n-1)d,则到0的天数为(240-0)÷30+1=9天,共14天,不符合6月21日结束;
代入C选项,则增长了6天,新增感染人数分别为30、90、150、210、270、330,6月8日为300,根据an=a1+(n-1)d,则到0的天数为(300-0)÷30+1=11天,共17天,不符合6月21日结束;
代入D选项,则增长了7天,新增感染人数分别为30、90、150、210、270、330、390,6月9日为360,根据an=a1+(n-1)d,则到0的天数为(360-0)÷30+1=13天,共20天,符合6月21日结束。
因此,选择D选项。
解法二:第一步,本题考查数列问题。
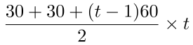
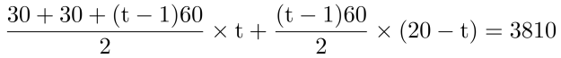
第二步,设新增感染人数增长了t天后开始下降,则前t天成公差为60的等差数列,后(20-t)天成公差为-30的等差数列。前t天和值为
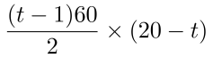
,后(20-t)天和值为
。由题意有
,化简为30
+30(t-1)(20-t)=3810,解得t=7。6月2号开始增长了7天,那么到6月9号开始下降。
因此,选择D选项。
从所给的四个选项中,选择最合适的一个填入问号处,使之呈现一定的规律性:
手机从只能进行语音通话、收发短信发展到能够提供网页浏览、电子商务等多种信息服务功能,甚至把宽带互联网搬到手机上,将手机变成一个接入网络的终端,其通话功能仅仅是附带功能。对上述材料体现的哲学道理说法错误的是( )。
王某为某县某镇政府工作人员,当选为H县人大代表,王某当选的正确余径是()
(二)
村民王某和施某两家相邻。2012年3月,施某在两家之间都不享有宅基地使用权的空地上砌了一堵墙。谁知,这堵墙竟成了两家关系恶化的导火索。围绕砌墙的合法性,砌墙后王家的采光、通风、排水等问题,两家互不相让。5月4日,王某、施某又起纷争,施某先动手打了王某,继而双方互殴,王某右踝骨折,施某左上臂挫伤。后经鉴定,王某被打成轻伤。王某要求施某赔偿其因轻伤所受损失,并要求公安机关对施某处以治安处罚。
王某与施某的斗殴行为在侵权形态上属于()
会签是指

“阳关大道”原是指通往( )的道路。
“手表定律”是指当我们同时拥有两只时间不一样的手表时,反而不知道准确的时间,这对做好团队工作的启示是()
转变政府职能是当前我国行政管理体制改革的核心内容和根本途径。某区政府下列行为不符合转变政府职能要求的是()
根据《国家公务员暂行条例》的规定,当公务员认为自己的合法权益受到侵犯时,可以向检察机关或者审判机关提出控告。