
能够从上述资料中推出的是:
第二步,A选项,增长率比较。定位表格,2021年1月,我国稀土及其制品出口量的同比增速为11.3%,其环比增速为
,故同比增速高于其环比增速,正确。
B选项,两期平均数比较。定位表格,出口数量同比增速与出口金额同比增速所在列。根据两期平均数比较,分子的增长率>分母的增长率,则高于上年同期,反之低于。通过观察可知,出口额同比增速高于出口量同比增速的有:1月、2月和3月,共3个,错误。
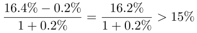
C选项,平均数增长率。定位表格,根据平均数增长率公式
,代入数据可得2021年3月,平均每吨稀土及其制品出口单价比上年增长
,超过15%,错误。
D选项,读数比较。定位表格,2020年上半年指2020年1—6月,出口量和出口额均同比上升,只需出口量和出口额的同比增速大于0。观察数据发现,满足的有3月和4月,共2个月,错误。
因此,选择A选项。
从所给的四个选项中,选择最合适的一个填入问号处,使之呈现一定的规律性:
手机从只能进行语音通话、收发短信发展到能够提供网页浏览、电子商务等多种信息服务功能,甚至把宽带互联网搬到手机上,将手机变成一个接入网络的终端,其通话功能仅仅是附带功能。对上述材料体现的哲学道理说法错误的是( )。
王某为某县某镇政府工作人员,当选为H县人大代表,王某当选的正确余径是()
(二)
村民王某和施某两家相邻。2012年3月,施某在两家之间都不享有宅基地使用权的空地上砌了一堵墙。谁知,这堵墙竟成了两家关系恶化的导火索。围绕砌墙的合法性,砌墙后王家的采光、通风、排水等问题,两家互不相让。5月4日,王某、施某又起纷争,施某先动手打了王某,继而双方互殴,王某右踝骨折,施某左上臂挫伤。后经鉴定,王某被打成轻伤。王某要求施某赔偿其因轻伤所受损失,并要求公安机关对施某处以治安处罚。
王某与施某的斗殴行为在侵权形态上属于()
会签是指

“阳关大道”原是指通往( )的道路。
“手表定律”是指当我们同时拥有两只时间不一样的手表时,反而不知道准确的时间,这对做好团队工作的启示是()
转变政府职能是当前我国行政管理体制改革的核心内容和根本途径。某区政府下列行为不符合转变政府职能要求的是()
根据《国家公务员暂行条例》的规定,当公务员认为自己的合法权益受到侵犯时,可以向检察机关或者审判机关提出控告。