为反映我国工业企业自主创新能力现状,了解企业开展创新活动的政策环境以及企业家对创新的认知程度,国家统计局近期对我国工业企业的创新情况进行了一次专项调査。
调査结果显示,2009-2011年间,全国开展创新活动的规模以上工业企业有8. 6万家,占全部规模以上工业企业的28. 8%。其中大型企业中开展创新活动的企业所占比重为83. 5%,中型企业为55. 9%,小型企业为25.2%。
分行业看,开展创新活动的企业较为密集的行业主要分布在医药制造业(63. 8%),仪器仪表及文化、办公用机械制造业(60. 9%),专用设备制造业(46.6%),通信设备、计算机及其他电子设备制造业(46. 5%)等高技术或中髙技术行业。传统制造业及非制造业工业开展创新活动的企业所占比重相对较低,如纺织业为24. 2%,采矿业为12. 2%,电力、燃气及水的生产、供应业为15. 7%。
分地区看,东、中、西部地区开展创新活动的企业占本地区规模以上工业企业的比重分别为28%、31. 6%和9. 6%,东部地区虽然低于中部地区,但东部地区开展创新活动企业的数量达到6.1万家。
创新经费来源情况可以从一个侧面所映政府支持企业创新的政策环境。调查结果表明,在全部规模以上工业企业创新活动经费中,企业资金占82. 8%,金融机构贷款占9. 3%,政府资金占3. 4%,国外资金和其他资金分别占0. 8 %和3. 7 %。
调査结果表明,2011年我国规模以上工业企业实现新产品销售收入39606. 1亿元,占当年主营业务收入的比重为12. 7%;新产品出口额为8686. 8亿元,占当年全部工业制成品出口额的11. 9%。
分企业规模看,大型、中型和小型企业分别实现新产品销售收入21002. 4亿元、10404. 5亿元和 8199.1亿元,占主营业务收入的比重分别为18. 6%,11.1%和7.1%。
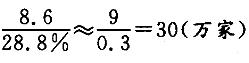
2009-2011年间,全国规模以上工业企业约有( )。
2009-2011年间,全国开展创新活动的规模以上工业企业有8. 6万家,占全部规模以上工业企业的28.8%,
,B项最接近。故本題选择B项。
从所给的四个选项中,选择最合适的一个填入问号处,使之呈现一定的规律性:
手机从只能进行语音通话、收发短信发展到能够提供网页浏览、电子商务等多种信息服务功能,甚至把宽带互联网搬到手机上,将手机变成一个接入网络的终端,其通话功能仅仅是附带功能。对上述材料体现的哲学道理说法错误的是( )。
王某为某县某镇政府工作人员,当选为H县人大代表,王某当选的正确余径是()
(二)
村民王某和施某两家相邻。2012年3月,施某在两家之间都不享有宅基地使用权的空地上砌了一堵墙。谁知,这堵墙竟成了两家关系恶化的导火索。围绕砌墙的合法性,砌墙后王家的采光、通风、排水等问题,两家互不相让。5月4日,王某、施某又起纷争,施某先动手打了王某,继而双方互殴,王某右踝骨折,施某左上臂挫伤。后经鉴定,王某被打成轻伤。王某要求施某赔偿其因轻伤所受损失,并要求公安机关对施某处以治安处罚。
王某与施某的斗殴行为在侵权形态上属于()
会签是指

“阳关大道”原是指通往( )的道路。
“手表定律”是指当我们同时拥有两只时间不一样的手表时,反而不知道准确的时间,这对做好团队工作的启示是()
转变政府职能是当前我国行政管理体制改革的核心内容和根本途径。某区政府下列行为不符合转变政府职能要求的是()
根据《国家公务员暂行条例》的规定,当公务员认为自己的合法权益受到侵犯时,可以向检察机关或者审判机关提出控告。