当前位置:首页医卫类助理医师口腔助理医师->在四格表的x检验中,若1≤T<5且n>40时应选用

在四格表的x检验中,若1≤T<5且n>40时应选用

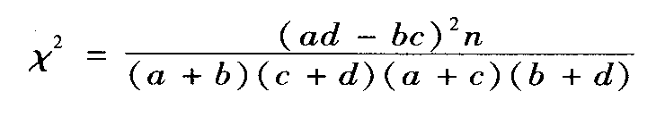
  • A.
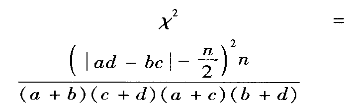
  • B.
  • C.
  • D.
  • E.
查看答案 纠错
答案: A
本题解析: 暂无解析
更新时间:2021-07-23 14:09

你可能感兴趣的试题

单选题

普通处方、急诊处方、儿科处方的保存期是

  • A.6个月
  • B.1年
  • C.2年
  • D.3年
  • E.4年
查看答案
单选题

下列不符合1型糖尿病特点的是(  )。

  • A.容易发生酸中毒
  • B.常伴有胰岛素抵抗
  • C.罕见高渗性非酮症性昏迷
  • D.血浆胰岛素水平明显减低
  • E.对胰岛素敏感
查看答案
单选题

胫骨中下段粉碎性骨折,行切开复位钢板内固定达到解剖复位,半年后骨折仍未愈合,最可能原因是(  )。

  • A.内固定强度不足
  • B.骨折处血液循环差
  • C.未到愈合时间
  • D.未配合药物治疗
  • E.功能锻炼不够
查看答案
单选题

麻醉药品处方的保存期是

  • A.6个月
  • B.1年
  • C.2年
  • D.3年
  • E.4年
查看答案
单选题

肛裂的典型表现是(  )。

  • A.肛周暗紫色圆形肿块、有压痛
  • B.肛周湿疹或溃疡
  • C.无痛性便血
  • D.肛周皮肤可见红色乳头状突起,挤压时有脓性液体渗出
  • E.疼痛、便血、便秘
查看答案
单选题

描述正态分布资料的集中趋势宜用(  )。

  • A.几何平均数
  • B.均数
  • C.相对数
  • D.中位数
  • E.标准差
查看答案
单选题

新生儿缺氧缺血性脑病早期主要病理变化是

  • A.脑细胞变性
  • B.脑内炎性细胞浸润
  • C.颅内出血
  • D.脑组织坏死
  • E.脑水肿
查看答案
单选题

最可能导致双侧唇腭裂患者上颌骨发育不足的是(  )。

  • A.鼻畸形整复术
  • B.腭裂整复术
  • C.牙槽突植骨术
  • D.正畸矫治器
  • E.唇裂整复术
查看答案
单选题

疼痛严重的血栓性外痔应行(  )。

  • A.外痔剥离术
  • B.注射疗法
  • C.冷冻疗法
  • D.痔切除术
  • E.痔环形切除术
查看答案
单选题

预防乙型肝炎最有效的措施是(  )。

  • A.严格管理血制品
  • B.应用一次性医疗器械
  • C.饮食饮水卫生
  • D.接种疫苗
  • E.注射丙种球蛋白
查看答案