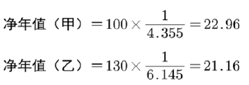
某项目有甲、乙两个建设方案,基准收益率为 10%。两方案的有关评价指标见下表。已知(P/A,10%,6)=4.355,(P/A,10%,10)=6.145。则两方案可采用( )。

本题考查的是互斥方案比选。互斥方案比选时,不能用内部收益率进行方案比选。寿命期不同的互斥方案比选也不能直接用净现值法和增量内部收益率法,需通过最小公倍数法把不同的寿命期转化为相同的计算期。可以用年值法进行比选。

根据《招标投标法实施条例》,依法必须进行招标的项目可以不进行招标的情形是()。
建设工程项目采用Partnering模式的特点有( )。
根据《工程造价咨询企业管理办法》,工程造价咨询企业可被处1万元以上3万元以下罚款的情形是( )。
关于Partnering模式的说法,正确的是( )。
下列工程中,属于分部工程的是( )
根据我国《价格法》,制定关系群众切身利益的公用事业价格、公益性服务价格、自然垄断经营的商品价格时,应当建立( )制度。
根据《建筑法》,获取施工许可证后因故不能按期开工的,建设单位应当申请延期,延期的规定是( )。
判断合同是否成立的依据是( )。
根据《国务院关于投资体制改革的决定》,对于采用贷款贴息方式的政府投资项目,政府需要审批( )。
根据《建设工程质量管理条例》,建设工程的保修期自( )之日起计算。